前言
车辆高速行驶下的动力总成噪声、轮胎/路面噪声得到一定控制之后,气动噪声已成为高速行驶车辆的主要噪声源,受到汽车企业和研究人员的重视。风洞试验、道路试验和数值计算是整车风噪研究的主要技术手段。路试经济易于实施,其缺点是无法避免引入发动机噪声、结构噪声、胎噪等干扰噪声。风洞试验更精确,认可度高,目前国内风洞资源紧张、费用高。
采用cfd/sea方法进行整车风噪数值仿真技术近年来兴起,在国外得到广泛应用,某些车企用这种方法部分甚至全部替代风噪的风洞试验。图1为舱内噪声预测精确性做的互相关分析[9],风洞试验和仿真预测的对比最大误差为0.8db(a),表明了这种方法噪声预测的准确性。
图1内部噪声数值预测与试验自相关分析
国内整车风噪研究起步晚,舱内噪声性能改进方面取得的成果有限。本文针对整车风噪性能提高,开展仿真、改型和试验的研究工作。
1气动噪声仿真方法
整车风噪仿真分为两步,第一步通过瞬态外流场计算,得到压力脉动作为气动噪声源;第二步噪声源输入进行声学计算,得到舱内噪声。
1.1瞬态外流场计算方法
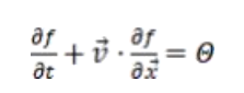
瞬态外流场计算采用格子玻尔兹曼法软件powerflow。与传统cfd的ns方程不
同,玻尔兹曼方程如下:
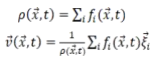
是粒子在时间t,速度时的概率分布方程,θ是满足守恒定律的粒子碰撞算子。流体密度ρ和速度均通过瞬时总和来获得:
湍流方程采用vles(verylargeeddysimulation)方法,得到如下方程:
1.2舱内噪声计算方法
图2为舱内噪声计算流程。声学计算模型采用统计能量法。整车风噪有两种输入功即压力脉动的两种声源:(1)近壁面湍流压力脉动作用在结构件壁面上,形成振动对舱内产生噪声;(2)空间声波以辐射的形式穿透结构件(如侧风窗玻璃),进入舱内。
图2sea方法用于舱内声学示意图
1.2.1.湍流压力脉动声源
湍流压力脉动直接作用在结构壁面上,声场的脉动压力对整车面板的时平均输入功为。
对式(5)简化处理,输入功率可以转换为等效点力加载到侧窗玻璃上,表达如下[6]:
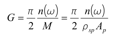
g是输入导纳的实部,与时间相关的节点力等效均方根值,重构结构表面的输入功率。输入导纳实部的表达式如下:
其中,面板面积;面板的模态密度;面板的面密度。
1.2.2.声学辐射声源
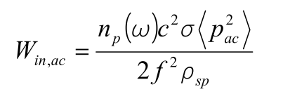
辐射声源进入车内的声能为:
其中,为声压的均方根;为声速;为面板辐射效率。
2仿真模型
2.1瞬态外流场计算
数值仿真车速为120km/h,全细节模型如图3,总网格量约为2.4亿,最小尺寸为0.5mm。
图3.原状态整车图
2.2舱内噪声计算
不考虑声泄露情况下,玻璃的隔声性能远低于金属车身部件,认为车外部声源仅经由侧窗玻璃和前风挡玻璃传递到舱内。需要求解输入功与玻璃的相互作用,以及输入功在玻璃中传播时的衰减,得到舱内测点位置的声压级。表1,2为侧窗玻璃参数,表3为混响时间。
表1sea舱内噪声计算玻璃参数
3仿真结果和分析
图4为车舱内部1/3倍频a计权声压级曲线,包括总声压级曲线、以及经过侧窗和前风挡传递到舱内的声压级曲线。从图中可以看出,舱内噪声总声压级以左侧窗的贡献值为主。
图4.原状态仿真舱内声压级曲线图
图5为原车db着色车外流场涡心图,从图中可知声源的位置和强度,主要声源包括后视镜尾涡、落水槽尾涡、雨刮尾涡和a柱脱落涡。
图6为这些声源在侧窗和前风挡上db云图,侧窗湍流载荷源于后视镜三角台阶尾涡、后视镜支架尾涡和a柱尾涡(图6a)。侧窗辐射声波载荷源于后视镜三角台阶尾涡、后视镜支架尾涡(图6b)。雨刮和落水槽引起的湍流压力脉动作用在前风挡上(图6c),落水槽尾涡撞击在a柱上,在前风挡上产生辐射声波(图6d)。
图5原车db着色车外流场涡心图
图6.侧窗和前风挡玻璃db云图
4气动噪声优化方案
对原车风噪仿真结果分析,从声源和声传播两个方面进行改型,即(1)降低声源,减小压力脉动,提高流动贴体性;(2)使声源远离声传播的衰减较弱部件(如侧风窗玻璃)。提出了2个改型方案,改型一对后视镜做了优化,改型二在改型一基础上对雨刮做了隐藏,如图7。
图7.原状态与改型状态对比图
5改型仿真与试验对比分析
5.1改型仿真结果对比与分析
改型一对后视镜支架和本体做了贴体性设计,支架减薄下移等。结果如图8a和b,对比图6a和b可知,湍流载荷和声波载荷在强度上和分布区域上均有减小。改型二避免雨刮对来流的阻挡,使落水槽附近流动更平顺,减少落水槽分流对后视镜区域的作用,降低侧窗玻璃的声压级,如图8c和d。
图8改型车型仿真结果
5.2试验说明
采用路试的方式验证,测试仪器为西门子lms数据采集系统,在驾驶员头部附近布置麦克风,如图9。
图9.路试测试相关图
5.3试验与仿真对比分析
图10为原车型和改型,驾驶员头部区域声压级曲线的路试和仿真对比。从图中可知:
(1)在整体趋势上,各数据结果是一致的,路试低频段出现起伏,是干扰噪声源的影响。
(2)从仿真声压级曲线可知,与原车对比改型一全频段都有改进,中高频段改进量大于1db(a),部分频段高达3~4db(a)。改型二改进更大,部分频段达到5.6db(a)。总声压级比较,改型一降噪值为1.5db(a),改型二降噪为1.8db(a),风噪性能改进明显。
(3)从路试结果可知,低频段声压级没有改进,这是因为路试时存在发动机噪声等干扰噪声,这些干扰噪声主要分布在中低频段,且其强度远高于风噪,测试设备记录声压级为干扰噪声源,风噪改型效果在中低频段无法体现。在高频段有较大的改善,部分高频段改型一相对于原状态有3.99db(a)的改进,改型二有5.1db(a)的改进。总声压级分别降低0.2db(a)和0.7db(a)。
(4)125~2500hz频段,三种工况下试验得到的声压级明显高于数值模拟,偏差在8~14db(a)之间,这个频段路试声压级主要来自于发动机噪声等干扰声源。
(5)2500~6300hz频段干扰源较少,试验与模拟的偏差在5db(a)以内。试验结果高于仿真结果,其可能的原因有(a)密封问题:数值仿真为完全密封下的结果,路试实车存在着密封不良导致的声泄露,提高舱内声压级;(b)工况不同:数值仿真是“车不动,空气流过”,路试时,外部风环境不稳定,无法精确定速巡航,车行颠簸等使压力脉动偏大,提高了声压级;(c)发动机噪声等干扰源在高频段还是有较小的影响;(d)路试侧窗玻璃厚度小于仿真的玻璃厚度所致。路试声压级曲线显示,其吻合频率在4600hz左右,而数值模拟得到的声压级曲线显示,吻合频率在4000hz左右,说明路试车侧风窗玻璃的厚度可能小于数值模拟的玻璃厚度,玻璃较薄,其隔音效果较差,引起声压级较高。
(6)对6300hz以上频段,在工程上关注较少,不做过多讨论。
图10.仿真与路试测试声压级曲线对比图
6结论
采用数值模拟对原车进行风噪仿真,在分析流场和声场结果基础上,以降低舱内噪声为目标,从声源降低和传递路径控制两个方面出发,提出两个改型方案,并对改型方案进行数值研究和路试研究,可得到结论如下:
(1)仿真和试验结果基本一致,在高频段偏差较小,说明仿真结果是有效的。
(2)从仿真结果可知,改型一后视镜优化的总声压级降噪达到1.5db(a),改型二在改型一基础上隐藏雨刮,总声压级降噪达到1.8db(a)。从路试看,中低频段干扰噪声源影响较大,改型一降噪0.2db(a),改型二降噪0.7db(a)。总体上降噪明显,说明改型方案是可行的。
(4)数值结果显示,部分高频段降噪最大达到5.6db(a)。路试结果显示高频段舱内降噪最大达到5.1db(a),有效减低了风噪。
(5)采用cfd/sea进行整车风噪仿真技术手段是可行的,改型方案从风噪机理出发降低舱内噪声的方法是有效的。
资料来源:达索官方
2025-12-05
[行业资讯] simulia简介-abaqus代理经销商思茂信息
2025-12-05
[行业资讯] 如何合理选购abaqus软件并获取报价?达索代理商思茂信息
2025-12-05
[行业资讯] 思茂信息亮相2025省博士创新站活动 共探产学研新路径
2025-12-02
[cst] cst软件探索eft虚拟测试:从iec标准到3d仿真实战
2025-12-01
[abaqus] abaqus中理想弹塑性模型和弹塑性硬化模型区别
2025-11-28
2025-11-28
2025-11-28
[abaqus] 上课啦!达索系统 simulia abaqus pcb仿真
2025-11-26
[cst] 无参优化器:利用cst和tosca进行拓扑优化之单极天线(
2025-11-26
2023-08-29
2023-08-24
[abaqus] abaqus如何建模?abaqus有限元分析教程
2023-07-07
[abaqus] 有限元分析软件abaqus单位在哪设置?【操作教程】
2023-09-05
[abaqus] abaqus软件中interaction功能模块中的绑定接
2023-07-19
[abaqus] abaqus怎么撤回上一步操作?abauqs教程
2024-05-01
[abaqus] abaqus里面s11、s12和u1、u2是什么意思?s和
2023-08-30
[abaqus] abaqus单位对应关系及参数介绍-abaqus软件
2023-11-20
[abaqus] abaqus软件教程|场变量输出历史变量输出
2023-07-18
[abaqus] abaqus中的s、u、v、e、cf分别是什么意思?
2024-05-11
[行业资讯] simulia简介-abaqus代理经销商思茂信息
2025-12-05
2025-12-05
[行业资讯] 如何合理选购abaqus软件并获取报价?达索代理商思茂信息
2025-12-05
[行业资讯] 思茂信息亮相2025省博士创新站活动 共探产学研新路径
2025-12-02
[行业资讯] 正版abaqus全国代理商:思茂信息——达索授权认证
2025-11-25
[行业资讯] 怎么联系cst studio suite代理商?达索sim
2025-11-25
2025-11-24
[行业资讯] 广东有限元分析软件abaqus采购指南-认准达索授权思茂信
2025-11-21
[行业资讯] 达索abaqus、cst代理商采购流程-指定授权代理商思茂
2025-11-21
[行业资讯] 广东2025半导体及零部件学会发展论坛落幕,广州思茂信息获
2025-11-20
地址: 广州市天河区天河北路663号广东省机械研究所8栋9层 电话:020-38921052 传真:020-38921345 邮箱:thinks@think-s.com
和记娱乐app官网登录 copyright © 2010-2023 广州思茂信息科技有限公司 all rights reserved. 粤icp备11003060号-2