资   讯   中   心

用 abaqus、tosca、isight软件的联合优化阀门结构-和记娱乐怡情博娱188

来源: | 作者:thinks | 发布时间: 2025-03-12 | 321 次浏览 | 分享到:

1 简介

航空产品中的流体管路系统应用了数量众多的各型阀门,阀门结构的减重对于飞机的减重设计和管路系统的优化具有综合效益。随着有限元技术的进步和产品相对成熟,采用有限元结构优化设计技术提高了航空产品的设计水平(雷先华,2004;汪树玉,1999)。以航空阀门关心的减重设计为例,大致有两大途径:一是采用轻量化材料,例如采用钛合金、复合材料等强度更高、重量更轻的新材料;二是利用非参优化设计及参数优化设计对结构进行精确设计,使零部件薄壁化、中空化、小型化、复合化等,这种结构改进方法,可以在提高刚度、强度的情况下实现减重(eschenauer h a,2001;sigmund o,2013)。

 

同时,阀门产品的另一大问题是活板颤振问题,阀门活板弹簧刚度和阻尼两个参数决定了阀门在常规工况下的开合角度和抗颤振性能,通过对阀门活板的弹簧进行参数优化,定义目标函数和约束条件,自动完成模型方案的计算和寻优,快速得到参数优化结果。本文应用simulia established products 2016 fp.1931 中的 abaqus、tosca 和 isight 软件,分别实现了阀门结构的减重设计和活板弹簧参数优化设计。

 

2 优化技术的理论及一般实施方式

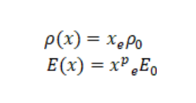
结构非参优化的重要内容是拓扑优化,可充分考虑结构的质量、重心、型心、模态、刚度、强度、频率响应等各种指标,并可考虑加工制造约束,使得优化的结果满足制造要求。拓扑优化理论之一为相对密度法(artificial materials),基本思想是不引入微结构,而是引入一种假想的相对密度在 0~1 之间可变的材料。它吸取了均匀化方法中的经验和成果,直接假定设计材料的宏观弹性常量与其密度的非线性关系。其中应用得比较多的模型是simp(solid isotropic microstructure with penalization)法。其基于最小柔度的优化模型如下:

设材料模型为:

用 abaqus、tosca、isight 软件的联合优化阀门结构 

 

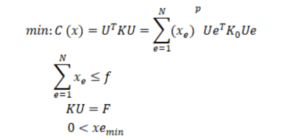
则拓扑优化模型为:

用 abaqus、tosca、isight 软件的联合优化阀门结构 

 

式中:ρ0和 e0分别是均质实体的密度和弹性,xe是单元的相对密度,p 是惩罚因子;u、f 是分别是位移矢量、力矢量,k 是总体刚度矩阵,ue是单元位移矢量,ke是单元刚度矩阵,n 是单元总数,f 是体积系数。优化时以单元的相对密度 xe为拓扑设计变量,这样结构拓扑优化问题被转换为材料的最优分布问题。优化设计过程:将区域离散成足够多的子区域,对这些子区域进行结构分析,再按某种优化策略和准则从这些子区域中删除某些单元,用保留下来的单元描述结构的最优拓扑。

 

一般非参优化的流程如下:

 

用 abaqus、tosca、isight 软件的联合优化阀门结构 

1. 结构非参优化流程

 

参数优化的实现依赖仿真分析流程自动化和多学科多目标优化工具。流程自动化的具体实现基础是以代码开发的方式,将结构设计、分析的常用软件的输入输出格式进行解读,通过内在的驱动代码,驱动各设计分析软件按照设定条件有序运行,并且对运用结果进行数据展示和图标展示;多学科多目标优化方法是以优化理论为基础,通过梯度法、直接法等方式,实现在设计空间中的寻优。

 

用 abaqus、tosca、isight 软件的联合优化阀门结构 

2. 结构参数优化流程示例.

 

实现参数优化需要多种主流cae分析工具的专用接口,通过广泛的接口快速建立复杂的仿真分析流程,通过对参数优化问题的定义,设定和修改设计变量以及设计目标,利用优化算法自动进行多次分析循环;优化算法一般包含试验设计算法、优化方法、近似模型和质量可靠性设计等,可以通过分析优化结果明晰设计变量与设计目标之间的关系,进而辅助进行结构参数优化设计(张保成,2008;赵威,2008)。常见的优化方法如:多目标优化算法、单目标优化算法、梯度优化算法、智能优化器、全局优化算法等,能处理单变量多变量、有无约束、单目标多目标等不同类型的优化问题。

 

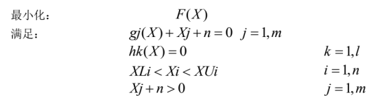
以广义下降梯度法(large scale generalized reduced gradient)为例,能够处理等式和不等式约束,对于不等式约束,它构造新的优化问题如下:

 

用 abaqus、tosca、isight 软件的联合优化阀门结构 

 

n是设计变量的数量,m是不等约束的数量,而k是等式约束的数量。前面的算法需要加上m个非负松弛变量,每个不等约束一个,所以总共是n m个设计变量。

 

假定开始等式约束是可行的,对于判定变量的任何改变,等式约束都必须保持可行性。从这个需求出发,梯度算法一开始就寻找一个判定变量的搜索方向,对于在这个搜索方向上的每一个将要做的移动,更新判定变量的向量使得约束仍然可行。如果起始设计不可行,第一步就是要获得一个其后能一直保持可行性的可行点,第二阶段从一个可行方案开始,这个可行方案或者是由第一阶段找到的,或者是用户提供的一个可行方案,然后优化用户提供的目标函数,它将产生一个可行点的序列,这个序列的目标值一般比开始更好(赖宇阳,2012)。典型参数优化的实施流程如图3所示。

 

用 abaqus、tosca、isight 软件的联合优化阀门结构 

3. 优化流程搭建示例.

 

3 航空阀门减重优化

进行航空阀门的减重优化,其中,阀门与外部设备的固定部位、配合部位不变;工况要求为:受 17mpa 的燃油耐压压力,不发生永久变形,受 26mpa 的燃油耐压压力,不发生破裂,在以上要求下进行减重优化。分析时应用非参优化软件 tosca 的拓扑优化功能完成以上优化过程。

 

3.1 前处理设置

设置模型冻结区域,分别是管嘴连接处、法兰连接面、内腔配合面、底面螺栓连接面,如图4所示。

 

用 abaqus、tosca、isight 软件的联合优化阀门结构 

4. 模型冻结区域示意图.

 

3.2 边界条件和载荷设置

通过零件底面四个螺栓孔设置固定约束。

 

用 abaqus、tosca、isight 软件的联合优化阀门结构 

5. 模型边界条件示意图.

 

载荷及强度考查要求如表 1 所示。

1. 载荷及强度要求表

用 abaqus、tosca、isight 软件的联合优化阀门结构 

 

载荷的施加位置如图 4 所示:

用 abaqus、tosca、isight 软件的联合优化阀门结构 

6 载荷示意图.

 

材料参数,查找 2a70-t6 铝合金材料参数如表 2、表 3 所示。

 

2. 材料基本参数.

用 abaqus、tosca、isight 软件的联合优化阀门结构 

 

3. 材料塑性参数.

用 abaqus、tosca、isight 软件的联合优化阀门结构 

 

3.3 有限元模型说明

模型单位制:ton, mm,s;平均网格尺寸:2.5mm;单元类型:c3d10 二阶四面体;单

元总数:10 万左右;模型简化位置:内腔螺纹处。

 

用 abaqus、tosca、isight 软件的联合优化阀门结构 

7. 螺纹简化位置.

 

应用 tosca 软件进行拓扑优化,优化结果及说明如下:

1) 模型初始性能评估

工况 1:最大应力为 170mpa,小于 200mpa,满足要求;

工况 2:最大应力为 227mpa,小于 355mpa,满足要求。

 

用 abaqus、tosca、isight 软件的联合优化阀门结构 

(a) 工况 1 的应力云图

 

用 abaqus、tosca、isight 软件的联合优化阀门结构 

(b) 工况 2 的应力云图

8. 工况应力云图.

 

2) 优化的设置及流程

形状优化变量:形状优化;优化算法:condition-based;约束条件:实体体积为初始模型的 80%;目标:应力最小。

 

3.4 优化后的结果验证

工况 1:最大应力为 195mpa,小于 200mpa,满足要求。

工况 2:最大应力为 225mpa,小于 355mpa,满足要求。

 

用 abaqus、tosca、isight 软件的联合优化阀门结构 

(a) 优化后工况 1 的应力云图

 

用 abaqus、tosca、isight 软件的联合优化阀门结构 

(b) 优化后工况 2 的应力云图

9. 优化后的应力云图.

 

初始质量从 0.660kg 优化为 0.553kg,实现减重 16.2%,性能满足要求。根据优化后的结果,进行模型的再次设计,即将减材位置的结构厚度减少,代入边界条件进行计算,结果满足要求。

 

4. 性能结果.

用 abaqus、tosca、isight 软件的联合优化阀门结构 

 

4 阀门活板弹簧参数优化

以单向双板活门结构为基础,进行阀门活板的弹簧参数优化,本次计算中用线弹簧代

替扭簧进行简化模拟。

 

4.1 优化问题的定义

优化目标:在0.4mpa的压力下,板的开口保持在1mm;

约束条件:结构的最大应力小于700mpa;

设计变量:活板弹簧的刚度。

 

用 abaqus、tosca、isight 软件的联合优化阀门结构 

10. 阀门活板结构简化示意图

 

4.2 分析过程

在有限元软件abaqus中进行简化结构、设置材料参数、划分体网格、设置接触属性、

设置连接关系等步骤,施加重力载荷,在板上施加压力,计算求解。载荷及边界条件如图

11、图12所示。

 

用 abaqus、tosca、isight 软件的联合优化阀门结构 

11. 底固支边界条件及重力载荷.

 

用 abaqus、tosca、isight 软件的联合优化阀门结构 

12. 双板法向压力载荷

 

初始弹簧刚度均为500 n/m,初次求解后,得到的应力及位移结果如图13、图14所示。

 

用 abaqus、tosca、isight 软件的联合优化阀门结构 

13. 应力结果云图.

 

用 abaqus、tosca、isight 软件的联合优化阀门结构 

14. 位移结果云图

 

采用isight软件联合abaqus有限元分析软件搭建如图15的优化流程。

 

用 abaqus、tosca、isight 软件的联合优化阀门结构 

15 活板参数优化流程

 

设计变量选择双板与支柱相连的弹簧刚度;约束条件选择总体结构的应力不大于700mpa;优化目标选择双板开口处最大位移为1mm。

 

4.3 优化结果及说明

共优化41轮,得到41种方案,其中满足要求14种方案(以精度1mm±0.01计算)。如

16所示。

 

用 abaqus、tosca、isight 软件的联合优化阀门结构 

16. 优化参数结果列表.

 

其中,各参数的变化情况如图 17 所示。

 

用 abaqus、tosca、isight 软件的联合优化阀门结构 

17. 各参数优化过程变化.

 

选择符合要求的一组优化方案,两侧的弹簧刚度最终优化为:1600 n/mm。经过将最终结果代入原始模型中进行计算,结果满足要求。

 

5 结论

1) 通过优化技术的理论及一般实施方式介绍,叙述了结构的非参优化及参数优化的基本概念和典型实施方式,可为一般结构的优化提供参考;

2) 通过航空阀门结构的非参优化及参数优化,得到了满足要求的减重方案及参数选择方案;实践证明,采用 abaqus、tosca、isight 软件的联合优化技术进行结构设计具有目标及约束可控、自动化、高效率的优势。

3) 利用仿真分析及优化技术来深刻认识产品特性,通过不断的自动化的“设计-仿真优化”迭代,进行产品创新设计,提高设计水平,增强产品竞争力。

 

资料来源:达索官方

 主 营 产 品
cst
abaqus
powerflow
xflow
simpack
catia
最 新 内 容
热 门 文 章
知 识 科 普
方 案 解 析
  • 汽车交通
  • 风能电源
  • 船舶机械
  • 生物医疗
  • 土木建筑
  • 新能源
  • 高科技
"))
网站地图