电机控制器作为汽车上主要的 emi 干扰源,其传导发射干扰程度也随着总成系统功率开关元器件的开关动作频率的不断提高、操作功率密度的不断增大而越发严酷。作为 emc正向设计的重要步骤,电机控制器电磁兼容性系统仿真模型的建立对缩短产品开发周期、降低产品成本和快速精准定位问题具有非常重要意义。
目前基于cst仿真软件建立完整的双三相电机控制器的电磁兼容性的仿真的研究比较少见,文献从控制器开关动作引起的di/dt和du/dt出发,应用系统函数的方法来描述传播路径上的干扰耦合特征,准确预测了emi的时域波形和频谱特性,分析了驱动系统开关频率与开关损耗及emi严重程度的关系,提出可以用软开关和svpwm调制的方法来优化电磁兼容问题,建立了控制器和电机的仿真模型并基于cst mws进行了emi仿真,得出了干扰的时域波形。本文基于cst软件,建立了从电源线束、功率开关器件、滤波器到电机的emc模型,并将仿真结果与emc传导发射实测测试结果进行对比分析,结果表明本文建立的电驱系统模型具有较高的精确性,对双三相电机控制器解决emc传导发射问题具有一定的指导作用。
2. 控制器系统的 emc 分析
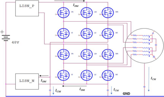
图一,双三相电机控制器的差模路劲和共模路劲
图二,mosfet开关波形:di/dt = 15a/us, dv/dt = 160v/us
控制器的驱动电路高频开关动作引起过大的 di/dt 和 du/dt 是系统噪声的主要干扰源,如图一,共模干扰源产生的主要原因是电路中较高的 du/dt 对寄生电容进行充放电引起的,其主要流通路径一共有两条,一条是从 mosfet 逆变器模块通过散热膏,散热器和机壳之间形成的分布电容传导至参考地面,另外一条是共模电流通过电机双绕组,由双绕组之间寄生电容及与机壳和参考地之间的分布电容构成共模电流回路;差模干扰是指相线之间的干扰,直接通过六个相线和电源正负极形成的电流回路。本文案例主要干扰为差模干扰为主,通过系统模型和电路模型。从时域和频域角度得出传导发射的仿真结果。
3. 双三相电机控制器系统的电磁兼容性建模
3.1 基于 cst 的 3d 建模
本文仿真参考的样机为控制器及双三相电机一体化设计,二者之间直接由长度为短且一致,杂散参数小的六个相线铜排连接。
3.1.1 低压线束建模
标准 cispr25:2016 里规定了汽车零部件传导发射电压法的人工网络连接器与被测件连接器之间的电源线长度应为 200~400mm。设该线束长为 300mm,一共两层,表层为绝缘橡胶材质,内层是材质为淬火铜的功率线束。线束的两端分别接人工网络和系统总成。
图三,电源线束模型示意图
如图三所示,它其实是一个高温绝缘材料包裹淬火铜材料的线束,包含电磁耦合关系及功率线束杂散参数信息的 rlc 等效电路的多输入多输出模块,其 rlc 参数可以在 3d仿真的时候计算包含在模型里面,可直接与其他模型端口进行连接,也可以跟其他金属材料直接连接。对于低速板不需要考虑线束的阻抗匹配。
3.1.2 mosfet 双逆变器建模
作为电机驱动系统的主要干扰源,mosfet 模型的建立以及它们的精确度直接影响到仿真结果的准确性。本文研究样机所采用的是 infineon 的一款功率 nmos,此元器件在英飞凌和记娱乐app官网登录官网可以直接下载 spice 模型,此模型可以导入到 ds 仿真中直接使用,其各项参数还是具有很高的准确性。其主要参数如 vds = 80v,id = 300a,rds = 1mω。
此样机产品所采用的双三相桥分别由六个 nmos 管组成,基本电路如图一所示,pcb板采用 8 层板的叠层结构,两边各三相的布局方式,如图四所示,
图四,mos 管 pcb 布局
此样机采用逆变电路和控制电路共 pcb 板的综合性布板,而非采用分板或者采用mosfet 模块进行电路设计,这样的设计对寄生参数如杂散电感的优化和系统的散热来说都是一种挑战。对于功率回路来说杂散电感越小越好,过大的杂散电感会导致 vds 的电压尖峰,从而危害 mos 管,所以在 pcb layout 的时候通过 cst 的低频仿真工作室建模并且使用 rlc 求解器来仿真杂散电感,优化杂散电感是很有必要性的。
通过 rlc 仿真得到回路上的杂散电感是 15nh,进行双脉冲测试的电路仿真,vds尖峰电压超过 72v,mos 存在损坏的风险。对 pcb 进行走线优化,仿真得出杂散电感为10nh。
图五,双脉冲仿真结果
仿真结果如图五所示,vds 尖峰电压为 64.5v,满足设计要求,双脉冲实测波形如图二所示,vds 为 66v,根据测得 di/dt,由公式 v=l*di/dt 计算得到杂散电感为 10.5nh。
3.1.3 六相双绕组电机建模
本文研究样机所采用的是双绕组电机,并且每个逆变器采用三角形连接,电机内部有多对磁极。由于 cst 软件主要应用于电磁兼容性的仿真,暂时没有电机的仿真功能,所以本文研究的电机线圈在 3d 工作室通过离散端口相互连接,形成三角形连接方式。本文所仿真的电机模式为堵转模式,后面电路工作室会使用电感和电阻来模拟线圈的等效电路。
3.1.4 emc 仿真 3d 系统建模
根据 emc 实验室布置和系统总成的安装方式最后建模如图所示
图六,3d 系统模型
3.2 基于 cst 的 ds 建模
3.2.1 系统电路建模
在ds工作室里面将电机驱动系统里各子模块的等效电路连接起来, 该模型涵盖了电机驱动系统回路中的电源,人工网络,逆变电路,电机等效电路。如图七所示
图七,等效电路
3.2.2 驱动信号调制方式
电机控制器系统模型的调制方式采用svpwm策略,它是由三相功率逆变器的六个功率开关元件组成的特定开关模式产生的脉宽调制波,能够使输出电流波形尽可能接近于理想的正弦波形。svpwm算法比spwm算法的直流电压利用率提高了15.47%。svpwm波可以由三角波(调制波)与马鞍波(载波,由正弦波加它的三次谐波叠加而成)调制生成。
本文研究样机为双三相电机控制器,驱动信号开关频率等于调制波频率,逆变电路由两个三相桥组成,每一个三相桥的载波信号的相位差为120˚,两个三相桥的u,v,w相级相互对应,载波信号的相位差为30˚。
该调制方式可以用vba或者python编程实现,本文使用cst软件自带的vba编译器编程实现svpwm的驱动信号生成。
三角波计算公式如下:
如图八,将三角波和马鞍波相互比较,生成svpwm波形,如图九所示:
图八,一个周期内的三角波和马鞍波
图九,svpwm 的波形
本文样机双三相桥一共需要设置12个svpwm波,所以仿真过程中还必须加上并设置死区时间,step时间,调制比等等这些参数。电机的转速和扭矩恒定。仿真生成vds信号边沿的上升时间为300ns,下降时间为250ns。波形如图十所示:
图十,mos管vds的开关波形
实测的vds波形如下图十一所示
图十一,vds实测波形
3.2.3 瞬态仿真的时域结果
六相的相电流波形如图十二所示:
图十二,六相相电流的波形
相电流的频率等于载波频率,计算公式如下
4. 仿真结果后处理
cst瞬态仿真的频域结果可以作为参考。如果想让仿真结果更准确更接近实测结果,那么后处理就非常有必要。
emc实验室做传导发射电压法的时候是使用emc接收机来测量lisn上的发射的。对于emc 接收机的测试参数设定,iso标准cispr25:2016有规定。如下表所示:
所以模拟接收机,对时域结果进行后处理就很有必要,这里后处理可以分为两部分:
(1)对时域结果进行设置多个矩形时间窗口,并分别做傅里叶变换,cst软件本身就自带这个后处理功能。
(2)对傅里叶变换之后的多个频谱进行取最大包络处理,生成峰值频谱图,并且自动合并两个带宽的频谱图。cst软件自身没有这个功能,本文使用vba脚本去实现这个功能。生成的最终频谱如图十三所示:
图十三,后处理0.15mhz ~ 108mhz带宽的lisn正极上的频谱
仿真和实测频谱对比:
图十四, lisn正极上的仿真频谱和实测频谱对比
5. 传导发射整改方案
测试结果分析,干扰源来自于差模路径的干扰。本文样机采用的整改方案为差模电感和两个 x 电容组成的π型 lc 滤波器。超过-3db 频点电压幅值会成-40db/十倍频的衰减。
差模电感采用磁芯为铁粉芯磁环进行绕制的线圈。铁粉芯相比于铁氧体的优点:
(1) 相比于铁氧体,铁粉芯价格低廉,性价比高,感量-频率响应稳定性好。
(2) 铁粉芯有比铁氧体高得多的饱和磁通密度,不容易磁饱和。
铁粉芯相比于铁氧体的最大缺点是相对磁导率太低,只有 10~100,导致电感感量不够大。本文样机采用的铁粉芯相对磁导率来自供应商提供的相对磁导率-频率曲线,通过cst 软件拟合出 mu′,mu″曲线。如图十五所示:
图十五,mu′,mu″曲线
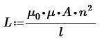
使用 python 读取差模电感 3d 模型里面铁粉芯材料的 mu′值,得到相对磁导率和频率的列表。把下列公式用 python 语言写出来,根据相对磁导率逐个计算出电感值,生成电感-频率响应曲线图,如图十六所示
µ0 为真空磁导率,a 为磁环横截面积,n 为线圈匝数,l 为磁路长度
图十六,电感-频率曲线图
20hz~1mhz带宽下,计算得出电感值为5.25uh~4.68uh,使用lcr电桥测得电感值为5.05uh~4.26uh. 对差模电感3d建模之后仿真生成s参数以touchstone格式导入到电路中,瞬态仿真得到的时域信号重复之前的后处理步骤。整改效果还是很明显,频谱如图十七所示:
图十七,整改频谱结果
6. 结束语
本文基于cst mircowave studio 2021建立了包括线束、滤波电路、mosfet驱动模块、电机模块等在内的emc系统模型。介绍了一种emc的建模,仿真,整改的系统化仿真流程,并且应用vba和python二次开发去实现emc仿真中所需要的功能,不但使仿真覆盖面广、精度高,而且大大的提高了仿真效率。仿真得到的传导发射数据与实测结果进行了对比,其中低频部分的仿真结果更加接近实测数据,说明在电机系统的emc建模中,寄生参数的准确设置直接影响着仿真模型的可靠性。
资料来源:达索官方
2025-12-05
[行业资讯] simulia简介-abaqus代理经销商思茂信息
2025-12-05
[行业资讯] 如何合理选购abaqus软件并获取报价?达索代理商思茂信息
2025-12-05
[行业资讯] 思茂信息亮相2025省博士创新站活动 共探产学研新路径
2025-12-02
[cst] cst软件探索eft虚拟测试:从iec标准到3d仿真实战
2025-12-01
[abaqus] abaqus中理想弹塑性模型和弹塑性硬化模型区别
2025-11-28
2025-11-28
2025-11-28
[abaqus] 上课啦!达索系统 simulia abaqus pcb仿真
2025-11-26
[cst] 无参优化器:利用cst和tosca进行拓扑优化之单极天线(
2025-11-26
2023-08-29
2023-08-24
[abaqus] abaqus如何建模?abaqus有限元分析教程
2023-07-07
[abaqus] 有限元分析软件abaqus单位在哪设置?【操作教程】
2023-09-05
[abaqus] abaqus软件中interaction功能模块中的绑定接
2023-07-19
[abaqus] abaqus怎么撤回上一步操作?abauqs教程
2024-05-01
[abaqus] abaqus里面s11、s12和u1、u2是什么意思?s和
2023-08-30
[abaqus] abaqus单位对应关系及参数介绍-abaqus软件
2023-11-20
[abaqus] abaqus软件教程|场变量输出历史变量输出
2023-07-18
[abaqus] abaqus中的s、u、v、e、cf分别是什么意思?
2024-05-11
[行业资讯] simulia简介-abaqus代理经销商思茂信息
2025-12-05
2025-12-05
[行业资讯] 如何合理选购abaqus软件并获取报价?达索代理商思茂信息
2025-12-05
[行业资讯] 思茂信息亮相2025省博士创新站活动 共探产学研新路径
2025-12-02
[行业资讯] 正版abaqus全国代理商:思茂信息——达索授权认证
2025-11-25
[行业资讯] 怎么联系cst studio suite代理商?达索sim
2025-11-25
2025-11-24
[行业资讯] 广东有限元分析软件abaqus采购指南-认准达索授权思茂信
2025-11-21
[行业资讯] 达索abaqus、cst代理商采购流程-指定授权代理商思茂
2025-11-21
[行业资讯] 广东2025半导体及零部件学会发展论坛落幕,广州思茂信息获
2025-11-20
地址: 广州市天河区天河北路663号广东省机械研究所8栋9层 电话:020-38921052 传真:020-38921345 邮箱:thinks@think-s.com
和记娱乐app官网登录 copyright © 2010-2023 广州思茂信息科技有限公司 all rights reserved. 粤icp备11003060号-2