作者 | wang yuanteng
cst的后处理中s parameter有3种方式可以提取rlc,之前有文章已经详细介绍过该功能。
faq066:如何从syz参数提取电容c和电感l --- 单端口
faq067:如何从syz参数提取电容c和电感l --- 双端口
coil_capaciotr只对单端口,比较简单,help中也给出了具体公式。但对于y参数和z参数的使用,仍有用户抱有疑问。以计算电容为例,不管用y参数和z参数都可以得到c11,c12,c21和c22。它们使用的公式是什么?这8个结果究竟哪个才是对的c?
本文尝试从y参数和z参数的适用性角度再讨论一下该问题,可以看作是 faq067的补充,一起阅读,效果更佳。
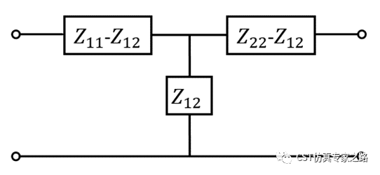
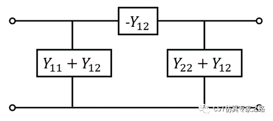
二端口网络的参数定义无需赘述,我们需要记住z参数是所有其它端口开路时所得阻抗,y参数是所有其它端口短路时所得导纳。那么,常见的两种互易性二端口网络的等效电路就可以表示成如下形式:
π型等效电路
t型等效电路
通过等效电路可以直观地看到元件值和网络参量的关系,先放在这里,以供后文参考。
以下仍以中的两个电路为例进行说明:
(一)电容等效电路:
z参数
两端口之间串联rlc,如果使用z参数,任一端口开路,则不构成回路,显然不能够用z参数进行计算。
y参数
y11和y22使电路变成单端口电路,与单端口计算方法相同,可行。
如下图,使用y12时,端口1短路,u2电压所形成电流方向与i1定义方向相反,因此公式中y12为负值。由互易性,y21与y12相等。
对于该电路,可以确定只能用y参数提取,但是提取出来的值都对吗?
电阻比较简单,取实部即可,此处只讨论l和c。
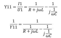
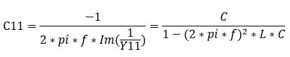
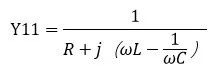
以y11为例:
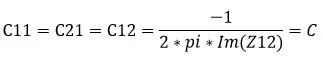
电容计算公式为:
从公式可以看出,低频时f值很小,分母接近1,所得c11为c。当f到达谐振频率,分母无限小,因此c11出现一个极大值,也就是为什么提取的电容有一个震荡。随着频率再升高,c11变成负值,体现出感性。
y22,y12和y21计算方法相同。所得电容结果如下:
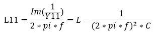
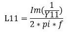
再来尝试提取电感,电感计算公式为:
显然,在低频会先出现一个负值,并不能直接得到l值,因此用y11提取l不合理。
总结一下,两端口之间串联电路只能用y参数提取;l和c串联,可以提取c,不适合提取l。
(二)电感等效电路
这个电路看起来和t型等效电路、π型等效电路都有相似,具体分析一下。
z参数
如下图为z11,端口2开路,z11为寄生电容两端阻抗,因此通过z11可求寄生电容。
z12,z21和z11相同,均为寄生电容两端阻抗,能且仅能提取寄生电容,不赘述。
电容计算公式:
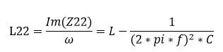
再看z22,端口1开路,端口2通过寄生电感到地,形成一个lc串联。
那么,z22能求l和c吗?尝试求一下电感:
这个l22看起来好熟悉,和前面串联电路通过y11求电感一样,该公式得不到正确的l值。所以,l和c串联,用y参数和z参数都只能提取c。
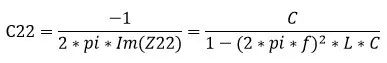
电容提取公式:
z22虚部包含电容和电感,因此得到一个综合的c,有震荡。
所以,使用z参数,z11,z12,z21和z22都可以计算电容。z22因为包含电感,因此电容有震荡。仿真结果如下图:
简单来说,使用z参数可以参考t型等效电路,寄生电容可以直接用z12和z21计算得到。z11和z22也可以用,最好自己先分析一下。
等等,那如果说,任性,就想用z参数计算l值呢。还是看t型等效电路。z22-z12的虚部就是l,自己在后处理里输公式就可以了。不过这样确实有点麻烦,不如用y12(后文会说明)。
y参数
下图为y11,端口2短路,y11为串联电路与寄生电感并联。
公式有点复杂,不详细推了。简单来说,低频时电容开路,提取的l值是对的。
电感计算公式:
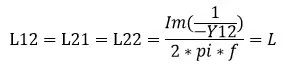
再看y12,端口1短路,那么寄生电容短路,y21为电感和电阻串联两端的导纳,故所得电感为纯电感。同样,使用y21和y22,能且仅能提取纯电感。
纯电感计算公式为:
所以,用y12直接提取电感。是不是比用z22-z12写公式来得更方便?此处应参考π型等效电路。
电感仿真结果如下,y12和y21可以提取串联电感,y22因为将寄生电容短路,所以提取的电感也是纯电感。y11提取出的电感为综合的l,有震荡。
对了,还想问能不能用y参数提取寄生电容?回顾一下前文,是不是很没必要?直接用z12吧。
再总结一下,对于两端口之间既有串联,又有对地并联的电路。可以用y参数提取串联部分,用z参数提取对地并联部分。
啰嗦了这么多,所以还是之前文章的那句话,如果可以尽量用单端口。除了前文提到的电路仿真,三维模型本来就有两个端口可以在schematic里把其中一个端口接地,使用s-parameter task和后处理就可以了。
最后总结
1. 对于“一”型电路,只能用y参数提取。2. 对于类似t型或π型等效电路,参考等效电路,用z12和y12提取比较简单。3. l和c串联,可以提取c。4. l和c并联,可以提取l。5. 尽量用单端口。
(内容、图片来源:cst仿真专家之路公众号,侵删)
和记娱乐怡情博娱188的版权与免责声明:
凡未注明作者、来源的内容均为转载稿,如出现和记娱乐怡情博娱188的版权问题,请及时联系和记娱乐怡情博娱188处理。我们对页面中展示内容的真实性、准确性和合法性均不承担任何法律责任。如内容信息对您产生影响,请及时联系和记娱乐怡情博娱188修改或删除。
2025-12-05
[行业资讯] simulia简介-abaqus代理经销商思茂信息
2025-12-05
[行业资讯] 如何合理选购abaqus软件并获取报价?达索代理商思茂信息
2025-12-05
[行业资讯] 思茂信息亮相2025省博士创新站活动 共探产学研新路径
2025-12-02
[cst] cst软件探索eft虚拟测试:从iec标准到3d仿真实战
2025-12-01
[abaqus] abaqus中理想弹塑性模型和弹塑性硬化模型区别
2025-11-28
2025-11-28
2025-11-28
[abaqus] 上课啦!达索系统 simulia abaqus pcb仿真
2025-11-26
[cst] 无参优化器:利用cst和tosca进行拓扑优化之单极天线(
2025-11-26
2023-08-29
2023-08-24
[abaqus] abaqus如何建模?abaqus有限元分析教程
2023-07-07
[abaqus] 有限元分析软件abaqus单位在哪设置?【操作教程】
2023-09-05
[abaqus] abaqus软件中interaction功能模块中的绑定接
2023-07-19
[abaqus] abaqus怎么撤回上一步操作?abauqs教程
2024-05-01
[abaqus] abaqus里面s11、s12和u1、u2是什么意思?s和
2023-08-30
[abaqus] abaqus单位对应关系及参数介绍-abaqus软件
2023-11-20
[abaqus] abaqus软件教程|场变量输出历史变量输出
2023-07-18
[abaqus] abaqus中的s、u、v、e、cf分别是什么意思?
2024-05-11
[行业资讯] simulia简介-abaqus代理经销商思茂信息
2025-12-05
2025-12-05
[行业资讯] 如何合理选购abaqus软件并获取报价?达索代理商思茂信息
2025-12-05
[行业资讯] 思茂信息亮相2025省博士创新站活动 共探产学研新路径
2025-12-02
[行业资讯] 正版abaqus全国代理商:思茂信息——达索授权认证
2025-11-25
[行业资讯] 怎么联系cst studio suite代理商?达索sim
2025-11-25
2025-11-24
[行业资讯] 广东有限元分析软件abaqus采购指南-认准达索授权思茂信
2025-11-21
[行业资讯] 达索abaqus、cst代理商采购流程-指定授权代理商思茂
2025-11-21
[行业资讯] 广东2025半导体及零部件学会发展论坛落幕,广州思茂信息获
2025-11-20
地址: 广州市天河区天河北路663号广东省机械研究所8栋9层 电话:020-38921052 传真:020-38921345 邮箱:thinks@think-s.com
和记娱乐app官网登录 copyright © 2010-2023 广州思茂信息科技有限公司 all rights reserved. 粤icp备11003060号-2