1.引言
随机有限单元法(sfem)是基于概率理论对有限单元法(fem)的扩展补充,将不确定性分析引入有限元计算中,采用随机事件去描述模型的边界条件、载荷以及材料参数。计算结果不再是一个确定的单一数据,而是符合随机场理论的一组数据的集合,通过概率密度关系能够得到一定置信区间内的计算结果。
karhunen-loeve展开法(后文简称k-l法)是广泛使用的随机场离散方法之一,最早在结构的随机有限元分析中首次使用k-l法,并推导了协方差函数的特征函数和特征值需满足的条件。k-l法最初应用于信号学,本质是用有限阶数去截断无穷级数,采用低阶特征值与特征函数去近似描述随机场[3]。截断误差会导致计算结果与理论值存在偏差,计算时需依据相关理论合理地确定截断阶数。采用逐点误差的平均值对k-l展开过程中的截断误差进行了分析,发现任意离散方案下,截断误差均随展开阶数的增大而迅速降低,低阶截断阶数下计算精度仍符合分析要求。分析了小波法、镜像阵法等方法的计算效率及精度,发现算法结构对k-l展开的计算效率存在较大影响。地基土体是复杂地质活动的产物,土性参数的分布是典型的随机场问题,谭晓慧[8]等基于k-l法建立了地基土体的随机场模型,结果表明基于随机场的边坡的可靠度分析结果更为合理。
k-l法的广泛应用主要有两个难点,第一是求解第二类fredholm积分方程获得特征函数与特征值[9~11],第二是内嵌到现有商用有限元软件。abaqus是达索公司开发的大型通用有限元软件,提供了多种计算机语言的二次开发接口。本文基于数值积分算法提出了第二类fredholm积分方程的一种数值解法,并采用fortran计算机语言编写了usdfld子程序与abaqus的计算内核联立,实现了k-l展开在abaqus中的实现。
2.karhunen-loeve法的数值解法
2.1karhunen-loeve法基础理论
相关函数是描述材料参数相关性的函数,是分析区域内部物理参数与空间坐标的随机关系,相关函数与协方差函数的关系式可表达为:
2.2第二类fredholm积分方程的数值解法
图1计算示意图
3.合理性验证
图2特征值n与展开阶数关系
3.2特征函数
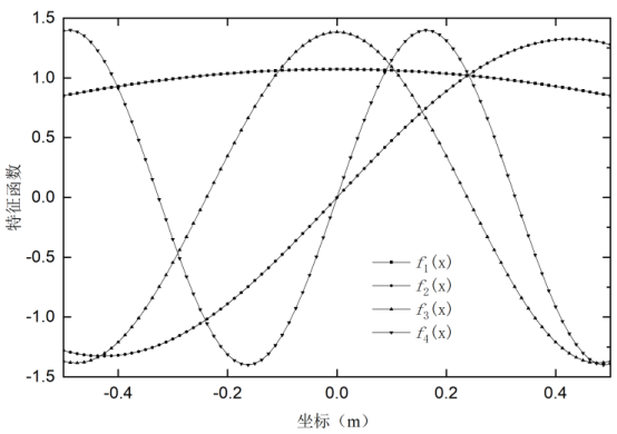
k-l法展开的本质是依据式(2),采用有限个特征去描述随机场的整体特征,低阶特征值与特征向量的精度保证了总体展开的合理性。提取前4阶的特征函数()nfk的数值解与理论解(见图3)和计算误差(见表1)。由图3可知,()nfk的数值解与理论解的函数型式一致,分布规律相同。由表1可知,()nfk的数值解计算误差较小,最小误差为0.01‱,最大误差为5.46‱,满足分析精度的要求。
(a)特征函数数值解
(b)特征函数解析解
图3特征函数曲线
表1特征函数误差表(‱)
3.3协方差函数分析
ghanem在文献[2]中证明了,当式(2)成立时,协方差函数的谱表达式为:
式中,参数含义同前。
依据式(22)计算各阶展开下的协方差函数,并绘制协方差函数4阶展开的理论解和数值解(见图4);绘制4、8、12和16阶展开时数值解与理论解的误差图(见图5)。由图4可知,协方差函数的数值解与解析解函数型式一致,当tk=时,协方差函数恒大于零,并以此为分界线,分割成两个对称的区域,矩阵型式的协方差函数的正定性得到验证。
由图5可知,数值解与理论解的误差较小,最小误差仅为-0.00071%。误差图像以tk=为分界呈对称分布,且最大误差区域位于tk=的直线上。由式(22)易知,数值解的累计误差随着展开阶数的增大而增加,4阶展开时最大误差为0.015%,当展开阶数增大到16时,最大误差增加到0.076%,但仍在误差要求范围内。
图4四阶展开协方差函数
图5协方差函数计算误差(%)
3.4相关距离的影响
计算不同相关距离时的k-l法展开结果,对比不同展开阶数下特征值的数值解与理论解(见图6)。由图6可知,一阶展开对应的特征值n及其收敛速度随着相关距离的增大而增加。展开阶数相同时,大的相关距离下的计算精度更高,结果是一致的。
(a)数值解
(b)解析解
图6特征值曲线
4.abaqus二次开发
4.1算法架构
abaqus是法国达索公司开发的大型通用有限元软件,提供了python和fortran计算机语言的二次开发接口。python的应用场景是前后处理阶段,达索公司开发了大量的通用函数,极大地提高了用户的编码效率。fortran的重心则是求解器的二次开发,作为底层语言能在相同的算法架构下保证最高的计算效率。本文采用python与fortran混合编码的方式将k-l法内嵌至abaqus(具体架构见图7),其中k-l法关键的特征函数与特征值计算采用python编码实现,并将展开的随机场以空间坐标的方式输出为csv文件。然后将python输出的csv文件数据输入abaqus前处理模块内,依据分析区域是一维、二维还是三维,添加场变量对应csv文件中的x坐标、y坐标和z坐标数据。再编制usdfld子程序将各材料积分点的场变量与坐标对应即可实现k-l法在abaqus中的内嵌。
图7算法架构图
4.2usdfld子程序
usdfld子程序是abaqus内置的场变量控制子程序[15],允许用户编制fortran代码将材料积分点的材料参数与场变量联系在一起,场变量可以是一个或多个,数学表达为:
4.3特征函数与特征值计算
python的numpy库提供了np.linalg.eig()函数计算矩阵的特征值和特征向量,在生成k矩阵后直接调用函数即可。协方差函数的特征函数包含于k矩阵无穷多特征向量的集合,软件计算得到的特征向量通常以单位向量表示,尚不满足式(4),需依据式(15~19)计算特征函数的长度。
4.4材料参数输出
有限元软件通常不支持将材料参数输出到后处理数据库内,用户使用abaqus时只能在后处理模块显示场变量fv的云图(见图8)。
图8场变量
载初期材料积分点的应力和应变,通过弹性矩阵反算出弹性模量e,将其存储到状态变量中即可得到k-l展开后弹性模量e的分布规律,对于k-l随机场展开,同一分析区域的不同材料参数在空间上的分布规律是一致的,弹性模量e分布的合理性即可对其他参数的分布进行验证(图9为依据式(25)计算得到的地基岩土体的弹性模量随即展开场)。
图9弹性模量
5.结论
本文基于数值分析理论提出了karhunen-loeve展开的一种数值算法,编制了相应程序将其内嵌至abaqus软件中,并与理论解答进行了对比,得到以下重要结论:
(1)采用python和fortran77混合编码的方式将karhunen-loeve展开内嵌至abaqus软件效果较好,扩展了abaqus软件的随机有限元分析功能。
(2)有限元软件不能直接在后处理模块输出材料参数,能通过abaqus内置的getvrm函数获取各积分点的应力张量与应变张量,进而通过弹性力学理论生成材料参数的随机场云图。
(3)通过数值求积算法,将求解第二类fredholm积分方程转换为求解k矩阵的特征值与特征向量是可行的。
(4)当展开阶数增大,特征值迅速衰减,低阶特征值远大于高阶特征值,保证了有限截断下随机场的计算精度。
(5)特征值于特征函数的数值解于理论解基本一致,误差满足分析精度要求。
(6)协方差函数的数值解与理论解一致,图像呈对称分布,误差随展开阶数增大而增加,各阶展开下的最大误差均位于中线上。
2025-12-05
[行业资讯] simulia简介-abaqus代理经销商思茂信息
2025-12-05
[行业资讯] 如何合理选购abaqus软件并获取报价?达索代理商思茂信息
2025-12-05
[行业资讯] 思茂信息亮相2025省博士创新站活动 共探产学研新路径
2025-12-02
[cst] cst软件探索eft虚拟测试:从iec标准到3d仿真实战
2025-12-01
[abaqus] abaqus中理想弹塑性模型和弹塑性硬化模型区别
2025-11-28
2025-11-28
2025-11-28
[abaqus] 上课啦!达索系统 simulia abaqus pcb仿真
2025-11-26
[cst] 无参优化器:利用cst和tosca进行拓扑优化之单极天线(
2025-11-26
2023-08-29
2023-08-24
[abaqus] abaqus如何建模?abaqus有限元分析教程
2023-07-07
[abaqus] 有限元分析软件abaqus单位在哪设置?【操作教程】
2023-09-05
[abaqus] abaqus软件中interaction功能模块中的绑定接
2023-07-19
[abaqus] abaqus怎么撤回上一步操作?abauqs教程
2024-05-01
[abaqus] abaqus里面s11、s12和u1、u2是什么意思?s和
2023-08-30
[abaqus] abaqus单位对应关系及参数介绍-abaqus软件
2023-11-20
[abaqus] abaqus软件教程|场变量输出历史变量输出
2023-07-18
[abaqus] abaqus中的s、u、v、e、cf分别是什么意思?
2024-05-11
[行业资讯] simulia简介-abaqus代理经销商思茂信息
2025-12-05
2025-12-05
[行业资讯] 如何合理选购abaqus软件并获取报价?达索代理商思茂信息
2025-12-05
[行业资讯] 思茂信息亮相2025省博士创新站活动 共探产学研新路径
2025-12-02
[行业资讯] 正版abaqus全国代理商:思茂信息——达索授权认证
2025-11-25
[行业资讯] 怎么联系cst studio suite代理商?达索sim
2025-11-25
2025-11-24
[行业资讯] 广东有限元分析软件abaqus采购指南-认准达索授权思茂信
2025-11-21
[行业资讯] 达索abaqus、cst代理商采购流程-指定授权代理商思茂
2025-11-21
[行业资讯] 广东2025半导体及零部件学会发展论坛落幕,广州思茂信息获
2025-11-20
地址: 广州市天河区天河北路663号广东省机械研究所8栋9层 电话:020-38921052 传真:020-38921345 邮箱:thinks@think-s.com
和记娱乐app官网登录 copyright © 2010-2023 广州思茂信息科技有限公司 all rights reserved. 粤icp备11003060号-2