引言
空气垫是一种新型承载与缓冲材料,它由塑料薄膜包裹气体,并经封合而成为突起状的气泡(柱),气泡的形状主要有柱状、半圆状和钟罩状等,从原理上讲,空气垫是依靠内部压缩气体与表面薄膜的耦合作用来实现缓冲功能,当包装产品受到外界载荷冲击时,空气垫薄膜受压变形,空气垫内部气体吸收外界冲击能量,使被包装物免遭振动冲击破坏。相对其他缓冲材料比如泡沫塑料、蜂窝纸板和瓦楞纸板等,空气垫具有良好的弹性、抗冲击性、隔振性、复原性、湿度稳定性及弱吸湿性等性能。并可回收再利用,具有良好的经济和环保效益。目前广泛应用于产品的缓冲包装,尤其是近年来随着电子商务迅猛发展的快递包裹领域。
国内外众多学者对空气垫本构模型进行了研究,基于材料力学和物理学基本理论推导并分析了空气垫几何压缩圆柱本构模型及其承载力的理论计算公式,理论结合试验研究了初始充气压力、空气垫结构形状尺寸对空气垫的承载特性与缓冲性能的影响,但未对空气垫塑料薄膜本构关系进行研究,gunawan等(gunawan, 2012)对气垫缓冲材料的充气、冲击阶段分别进行了数值仿真和试验研究,并研究了气体压力、气体体积、气体性能对缓冲性能的影响。以上研究均没有考虑到空气垫气柱薄膜材料本构特性,只是用简单的线弹性模型来描述。陈鸣等(陈鸣, 2014)基于连续介质力学建立了气柱薄膜超弹性本构模型,并对空气垫进行了静态压缩模拟,通过压缩试验验证了超弹性本构模型的适用性,文中仅对薄膜小变形阶段的应力-应变关系进行了推导分析,当压缩量过大时,超弹性本构模型将不适用。jian zhang等(zhang, 2022)基于超弹性本构模型研究了不同初始气体压力下空气垫的跌落缓冲性能,但是材料本构存在应力软化、应力硬化阶段,超弹性本构无法正确描述空气垫薄膜的变形行为。
材料模型的准确性决定着结构仿真的可靠性,在有限元分析的基础上,选择合适的参数和准确的材料模型对缓冲包装材料力学性能和缓冲性能的仿真分析至关重要。本文基于聚合物薄膜的单向拉伸试验,建立了空气垫的薄膜的材料本构模型来描述薄膜的力学行为,本构模型参数通过不同温度和不同应变率下的单轴拉伸试验获得,模型中还引入了johnson-cook损伤模型,并基于abaqus和isight通过本构反演确定损伤模型参数。此外,通过将单个气柱袋静态压缩试验和数值模拟分析进行对比,进一步验证了所提出的空气柱薄膜本构模型的有效性。最后研究了塑膜材料的压缩位移、厚度、充气压力对空气垫承载和缓冲性能的影响规律,为空气垫包装设计提供理论指导。
1. 试验部分
1.1 空气垫薄膜准静态单轴拉伸试验方案
空气垫是由塑料薄膜包裹气体而成,此薄膜是由低密度聚乙烯(pe,75%-88%)和聚酰胺(pa,12%-25%)共挤而成。根据《塑料拉伸性能的测定第3部分:薄膜和薄片的试验条件》(gb/t1040.3-2006)制备单轴拉伸试验试样。拉伸试样室温下保温一段时间,分别测试三种不同拉伸速率下(5 mm/min、50 mm/min、100 mm/min)的拉伸性能,测试恒定拉伸速率(5 mm/min)不同环境温度下(25 °c、40°c、60°c)的拉伸性能。
1.2 试验结果
图 1. (a)不同应变率的工程应力/应变曲线;(b)不同温度下的拉伸应力/应变曲线
图1为不同应变率和不同温度下的工程应力应变曲线,由图可知,无论在何种温度和应变率下,空气垫所用塑膜材料具有聚合物典型的特性即率相关性和温度依赖性,其应力应变曲线具有典型特征:在小变形加载时,塑膜材料首先进入黏弹性阶段,而后到达屈服点(即应力-应变第一个峰值点), 材料则进入后屈服阶段。随应变的继续增大,应力会出现暂时性地减小,这是聚合物类材料特有的应变软化阶段。而后随着应变的不断增加,应力值会迅速地上升,材料会进入应变硬化阶段。
此外,不同应变率下,pe/pa塑膜力学性能有所不同,此外,pe/pa塑膜力学性能对温度的灵敏度较高,随着温度的升高(低于玻璃化转变温度),软化应力逐渐降低,而断裂应力逐渐增大。
2. 空气垫塑膜本构模型建立
2.1 dsgz 本构模型
由塑膜单轴拉伸试验曲线可知,空气垫用塑膜材料具有硬而韧特性,加载过程中经历了黏弹性、屈服、应变软化、应变硬化等四个阶段,目前应用于这种类型聚合物研究的典型本构模型有 bpa(boyce-parks-argon)(boyce, 1988)、ogr((oxford-glass rubber)(wu,2004)、egp(eindhoven-glass-polymer)(govaert, 2000)、过应力模型(krempl, 2003)、zwt 模型(冯震宙, 2007)、拟线性本构模型(cristescu, 1972)以及 dsgz 模型(duan, 2001)等。
dsgz 模型是在 johnson-cook 模型,g’shell-jonas 模型,matsuoka 模型和 brooks 模型基础上提出的适用于玻璃态和半晶质聚合物材料的匀质唯象本构模型(于鹏, 2016),dsgz 模型充分考虑了不同应变率和温度效应下的应变软化和硬化特征,且仅需较少的试验数据即可获得材料本构参数,基于此,本文选择 dsgz 模型建立空气垫塑膜材料的本构方程。
2.2 dsgz 本构参数确定
2.2.1 参数 c1 和 c2 的确定
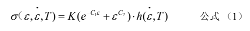
大变形时,dsgz 模型可以近似简化为
在同一条应力-应变曲线上大应变取三个数据点(ε σ1 1 , ) 、(ε σ2 2 , ) 、 (ε σ3 3 , ) 分别带入上式并分别相除即可求得 c1和 c2,计算公式如下:
2.2.2 参数 m 的确定
分别取不同应变率下相同大应变处的两个数据点 (ε σ, 1 ) 和 (ε σ, 2 ) ,分别带入公式(1),得到公式(2)。
2.2.3 参数 a 的确定
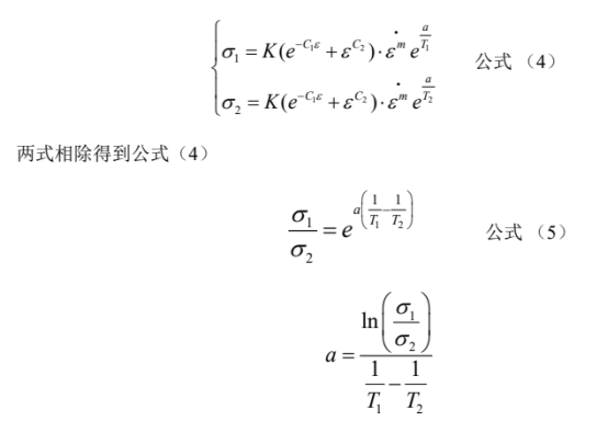
选取两种温度下相同大应变处的两个数据点(ε σ, 1 ) 和(ε σ, 2 ) ,分别带入公式(1),得到公式(4)。
2.2.6 参数 c4 和 α 的确定
参数 α 和 c4的大小直接影响试验曲线开始阶段的陡峭程度,根据经验和试验数据有:
将以上求解得到的参数绘制成表,如表 1 所示,
表 1. dsgz 模型参数.
2.3 损伤模型及本构参数反演
在数值计算中,材料失效模型的选取对于计算结果的合理准确性至关重要,目前研究比较多的韧性失效准则主要有最大剪应力判据、lemaitre 损伤模型、gurson 损伤模型、oyane 损伤模型、柔性损伤准则、johnson-cook 损伤模型、ffld(fracture forming limit diagram)损伤准则等,其中 johnson-cook 损伤失效模型算法简单,同时能够反映出应变率、温度、应力三轴度的作用,是应用较广的失效准则,因此,本文选用 johnson-cook 损伤本构模型对空气垫塑膜的失效行为进行预测分析。
johnson-cook 失效模型定义的等效断裂应变为:
在常温条件下的准静态拉伸试验,不考虑温度的影响,即 5 d = 0 ,公式(9)可以简化为:
由以上可知,为了确定损伤参数 d1~d5,需要进行大量的力学试验, 包括拉伸试验、压缩试验、扭曲试验以及 hopkinson 拉杆试验等。反演法被广泛应用于各种本构方程的参数确定,该方法基于有限元分析对材料参数进行优化,通过一些数值优化算法如最小二乘法、粒子群算法、遗传算法、多岛遗传算法、非线性二次规划算法(nlpql)算法、广义下降梯度算法(lsgrg)、修正可行方向(mmfd)算法等,使仿真结果逼近试验数据。
本文基于 abaqus 和 isight,结合有限元法和 mmfd 数值优化算法,建立了反演应力-应变曲线和试验获得的应力-应变曲线的目标函数,最终拟合结果如图 2 所示,两者的偏差较小,说明通过反演获取的本构参数可靠准确,根据单轴试验数据反算出材料损伤本构模型参数如表 2 所示。
图 2. 反演与试验曲线对比
表 2. johnson-cook 损伤模型参数.
3. 空气垫静态压缩数值分析
3.1 有限元模型
通常采用的空气垫由若干个单柱气囊组合而成,每个单柱独立气室的排气口之间无影响,且相邻两个气室间的相互挤压对空气垫载荷计算带来的影响可忽略不计,本文选择单柱气囊作为研究对象,并对其进行钢板静态压缩分析,数值分析模型如图 3 所示。空气垫的长度相对于其半径足够大,忽略空气垫两端的边缘效应,并将空气垫简化为圆柱形的柱身和半球形的两端。
图3. 静态压缩有限元模型
薄膜厚度相对于空气垫气室厚度可忽略不计,因此采用壳单元(s4r)建立空气垫塑膜有限元模型。利用 abaqus 中 fluid cavity 技术来建立气体单元,将空气垫内气体看作理想气体,且压缩过程为等温过程,通过定义腔体的内表面,将薄膜材料的壳单元与以薄膜内表面为边界的气体单元相互耦合,且共用节点,当空气垫受到压缩时,塑膜发生变形,空气垫体积和气压也随之发生变化,整个过程是空气柱薄膜与内部气体相互耦合作用,实现空气垫的反作用力与压缩载荷动态平衡的过程,空气垫塑膜具有明显的非线性弹性,其材料性能通过单轴拉伸试验得到。基于 dsgz 本构模型和 johnson-cook 损伤模型编写相应的 vumat,对空气柱静态压缩试验进行仿真分析。
3.2 数值分析及本构模型验证
图 4. 60 kpa 静态压缩应力云图
图 4 为充气压力为 60 kpa 的气柱袋压缩至 16 mm 时的应力云图,由图可知,压缩过程中,最大应力出现在气柱的两端,最大应力为 13.42 mpa,大于屈服强度 10 mpa,但是小于临界破裂应力 20 mpa。对仿真结果进行后处理,提取空气柱与钢板的接触力、位移,得到空气柱的载荷-位移曲线,并与试验结果进行对比,如图 5 所示。通过对比可知,仿真载荷-位移曲线与试验载荷-位移曲线拟合度较高,特别地,当压缩量为 13 mm 时,接触力误差仅为 2.3%,误差较小,说明静态压缩数值模拟结果精确度较高,能够对空气柱静态压缩性能进行准确有效的预测,从而进一步验证了基于 dsgz 和 johnson-cook 损伤本构模型所编写 vumat 的有效性。
图 5. 静态压缩载荷-位移曲线仿真与试验结果对比
此外,由图 6 静态压缩模拟应变云图可知,空气垫塑膜的最大应变处的应变为26.85 %,大于其屈服应变 2.5%,因此,初始气体压力 60 kpa 下,空气柱被压缩 16 mm时,塑膜会发生了塑性屈服变形,且进入了应变软化阶段。通过提取最大应变处应力随时间的变化曲线(图 7)可知,静态压缩过程中,应力超过了屈服强度,空气柱两端塑膜局部区域进入了塑性变形区域,呈现出非线性力学特征,与上述分析一致。
图 6. 静态压缩模拟应变云图
图 7. 最大应变处应力随时间变化曲线
3.3 空气柱承载缓冲性能研究
空气垫的变形是从接触钢板处开始的,当压缩位移由 0 mm 增大到 5 mm 时,空气柱塑膜主要呈现线弹性变形,当压缩位移超过 10 mm 时,空气柱两端塑膜局部区域不断发生非线性塑性变形,如图 8 所示,这一点由图 4 也可以看出。此外,本文还研究了初始充气压力和塑膜厚度对空气柱承载缓冲性能的影响,由图 9(a)可知看出,随着充气压力的增大,空气垫的承载力逐渐提高,但产生非线性行为所对应的位移逐渐减小,即较易发生塑性变形。由图 9(b)可知,塑膜厚度由 90 μm 增大到 200 μm 时,其压缩力在很小的范围内波动,可认为一定范围内的塑膜厚度对空气柱承载缓冲性能影响较小。结合以上分析,为了增加空气垫使用寿命,缓冲空气垫可靠性设计过程中应根据产品重量、跌落高度等工况,综合考虑充气压力以及缓冲压缩量对承载缓冲性能的影响,尽量避免塑膜发生塑性变形。
一般情况下,缓冲材料的缓冲性能用缓冲系数 c 来表示,缓冲系数越小,缓冲性能越好,静态压缩缓冲系数可通过公式(11)求得:
其中,c 为缓冲系数,无单位;e 为单位体积缓冲材料的形变能;σ 为应力;ε 为应变;f为压缩力值;a 为试样的承压面积。
通过公式(11)计算可以得到不同气压下的缓冲特性曲线,如图 10 所示。随着初始气压的增大,缓冲系数逐渐增大,缓冲效率逐渐减小,而缓冲性能逐渐变差。
图 9. (a)不同气压下的压缩力-位移曲线;(b)不同塑膜厚度下的压缩力-位移曲线
图 10. 不同初始充气气压下的缓冲系数
4. 结论
基于空气垫塑膜单轴拉伸应力-应变关系特征,选择 dsgz 弹塑性模型建立了塑膜的材料本构方程。本构模型中考虑了材料损伤演化,引入了 johnson-cook 损伤模型,并通过试验数据和本构反演获取塑膜材料的本构参数,并通过编写 vumat 子程序来实现这些本构模型。利用 abaqus 对 60 kpa 气体压力的单个空气柱进行准静态压缩模拟,数值模拟结果与试验测试结果误差较小,基本一致,验证了所建立本构模型的准确性和有效性。此外,本文还利用仿真手段研究了压缩量、气体压力、塑膜厚度对空气柱承载和缓冲性能的影响,随着压缩位移量的增大,空气柱两端的塑膜越易发生塑性变形。初始充气压力越大,承载性能越高,而缓冲性能越差,而空气柱承载性能受塑膜厚度影响较小,通过仿真分析可为充气垫缓冲材料的进一步研究提供理论依据。
资料来源:达索官方
2025-12-05
[行业资讯] simulia简介-abaqus代理经销商思茂信息
2025-12-05
[行业资讯] 如何合理选购abaqus软件并获取报价?达索代理商思茂信息
2025-12-05
[行业资讯] 思茂信息亮相2025省博士创新站活动 共探产学研新路径
2025-12-02
[cst] cst软件探索eft虚拟测试:从iec标准到3d仿真实战
2025-12-01
[abaqus] abaqus中理想弹塑性模型和弹塑性硬化模型区别
2025-11-28
2025-11-28
2025-11-28
[abaqus] 上课啦!达索系统 simulia abaqus pcb仿真
2025-11-26
[cst] 无参优化器:利用cst和tosca进行拓扑优化之单极天线(
2025-11-26
2023-08-29
2023-08-24
[abaqus] abaqus如何建模?abaqus有限元分析教程
2023-07-07
[abaqus] 有限元分析软件abaqus单位在哪设置?【操作教程】
2023-09-05
[abaqus] abaqus软件中interaction功能模块中的绑定接
2023-07-19
[abaqus] abaqus怎么撤回上一步操作?abauqs教程
2024-05-01
[abaqus] abaqus里面s11、s12和u1、u2是什么意思?s和
2023-08-30
[abaqus] abaqus单位对应关系及参数介绍-abaqus软件
2023-11-20
[abaqus] abaqus软件教程|场变量输出历史变量输出
2023-07-18
[abaqus] abaqus中的s、u、v、e、cf分别是什么意思?
2024-05-11
[行业资讯] simulia简介-abaqus代理经销商思茂信息
2025-12-05
2025-12-05
[行业资讯] 如何合理选购abaqus软件并获取报价?达索代理商思茂信息
2025-12-05
[行业资讯] 思茂信息亮相2025省博士创新站活动 共探产学研新路径
2025-12-02
[行业资讯] 正版abaqus全国代理商:思茂信息——达索授权认证
2025-11-25
[行业资讯] 怎么联系cst studio suite代理商?达索sim
2025-11-25
2025-11-24
[行业资讯] 广东有限元分析软件abaqus采购指南-认准达索授权思茂信
2025-11-21
[行业资讯] 达索abaqus、cst代理商采购流程-指定授权代理商思茂
2025-11-21
[行业资讯] 广东2025半导体及零部件学会发展论坛落幕,广州思茂信息获
2025-11-20
地址: 广州市天河区天河北路663号广东省机械研究所8栋9层 电话:020-38921052 传真:020-38921345 邮箱:thinks@think-s.com
和记娱乐app官网登录 copyright © 2010-2023 广州思茂信息科技有限公司 all rights reserved. 粤icp备11003060号-2