1 引言
侧风扰动对于高速动车运用是一个十分重要的安全影响因素。在强劲的侧向风作用下,列车所受到的侧向气动力和力矩有可能使列车横摆超限、脱轨,甚至出现翻车和人员伤亡事故。因此,研究车辆在不同速度下抵御侧风能力,对于列车的安全运行有着十分重要的指导意义。本文利用simpack软件建立高速动车模型,在直线和曲线两种工况下,着重分析走行部的动态行为安全性,如倾覆系数。侧风扰动作用的主要载荷特征,根据en14067确定。选取动车组中最轻的一节车作为研究对象,因为最轻的车抵御侧风能力最弱。研究不同列车速度、不同横风速度,分析列车受到的气动力和气动力矩(阻力、侧向力、升力,倾覆力矩、点头力矩,摇头力矩)对车体抗倾覆能力的影响;探讨不同车速下抵御侧风速度的极限值。
2 多体动力学建模
2.1 列车动力学模型
本文借助 simpack 软件中 rail_wheelset 模块建立了列车多体动力学仿真模型。坐标系的取法按照前进方向为 x 轴;y 轴平行于轨道平面指向右方;z 轴垂直轨道平面向下。动车车辆系统由 1 个车体、2 个构架、4 个轮对、4 个齿轮箱、4 个电机和 8 个轴箱定位转臂,共 23 个刚体组成,转向架模型拓扑图如图 1 所示,由虚车体、构架和前后轮对子结构组成,虚车体相对于大地用 0 号铰接,构架和前后轮对相对于大地用 7 号铰接表示。车体和每一构架各考虑 6 个自由度(纵向、横向、垂向、侧滚、点头和摇头),轮对考虑 6 个自由度(纵向、横向、垂向、侧滚、点头和摇头),车体相对于大地用 7号铰接。整车模型拓扑图如图 3,车体通过二系悬挂装置坐在构架上,车体与每个构架之间配有二个横向减振器和 2 个抗蛇行减振器,电机一端通过吊杆挂在构架上,另一端通过球关节挂在车体上,轴箱相对于车轴有点头自由度。构架与轴箱之间由一系悬挂装置连接,轴箱通过轴承坐在轮对上,一系悬挂装置配有垂向减振器,建模不考虑钢轨弹性。将一系垂向减振器阻尼、二系横向减振器阻尼、横向止挡刚度和抗蛇行减振器阻尼按非线性处理。动车转向架模型如图 2,动车模型如图 4。
图 1 转向架模型拓扑图
图 2 动车转向架模型
图 3 整车模型拓扑图
图 4 动车模型
2.2 轨道的设定
高速列车侧风稳定性计算分为直线和曲线两种工况。直线选取 5000m 直线。在曲线上,高铁运行通常处于欠超高平衡状态。在曲线通过时车厢的横向平衡关系是其离心力和重力横向分力来建立的[2],车厢的横向加速可得:
3 侧风的描述
在传统的高速列车侧风安全性分析方法中,所有的参数都假定为固定值。tsi提出了风荷特性曲线characteristic wind curve (cwc),此时高速列车的横风安全性只受车速和风速(风速不再为定常风)的影响,高速列车横风安全分析的最终输出是特征风速曲线(cwc),即高速列车以不同车速安全运行时所能承受的最大风速,特征风速曲线如图5。
图 5 风荷特性曲线(cwc)
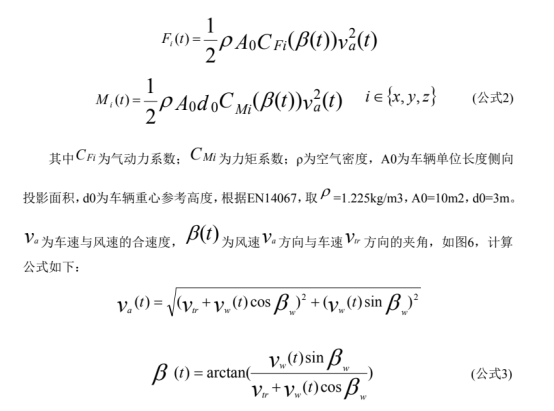
侧风产生的力及力矩和风速、车速有关。根据图 5 的风荷特性曲线,可计算出加载在车体上的力及力矩,公式如下:
图 6 车速、风速合成总速度
根据风洞试验的风荷动力系数,图 7。可根据公式 2 中的b(t),确定对应的风荷系数,根据公式 2 从而计算出气动力和气动力矩(阻力、侧向力、升力,倾覆力矩、点头力矩,摇头力矩)。
图 7 空气动力系数
本文研究的重点是不同的车速所能抵御的最大侧风速度。据此选取了一些特定的工况进行研究,具体如下:侧风风向角为 90°,车速分别取 80 km/h、100 km/h、120 km/h、140 km/h、160 km/h、180 km/h、200 km/h、220 km/h、240 km/h、250 km/h。en14067统计风荷大小加载到最轻的车体上,如图 8 和图 9。
图 8 侧风角(vtr=200km/h,vwind=31.8m/s)
图 9 侧风载荷(vtr=200km/h,vwind=31.8m/s)
4 侧风稳定的判别准则
车辆沿轨道运行时受到横向力的作用,如横风、离心力、线路超高引起重力横向分量等,这些横向力作用下造成一侧车轮减载,另一侧车轮增载。如果各种横向力在最不利组合作用下,车辆一侧车轮与钢轨之间的垂向力减少到零时,车辆有颠覆的危险。车辆在横向力作用下可能倾覆的程度用倾覆系数表示。目前评判倾覆系数指标有gb5599-1985和欧洲标准tsi。
4.1 gb5599-1985 规定倾覆系数
当车辆的减载侧车轮上垂向力 p1 =0 时,车辆已达到倾覆的临界状态,这时 d=1,即倾覆临界值。为了保证车辆不倾覆,倾覆系数 d 不能超过 gb5599-1985 规定的容许倾覆系数 d<0.8。
4.2 tsi 规定倾覆系数
根据 tsi 减载率的定义,车体抵御侧风能力以倾覆系数作为尺度加以判断,倾覆系数是转向架内侧(2 个)车轮总减载率:
从保证高速动车运用安全角度来讲,应当按照轨道车辆行业规范进行轮轨作用测试数据处理,如倾覆系数统计,通过低频 2hz 滤波。
5 计算结果及分析
5.1 计算结果验证
侧风垂直吹向车体,分别计算列车在直线和曲线上运行时,倾覆系数即将达到 0.9时,抵御侧风极限值。图 10 直线和曲线上抵御侧风结果对比。通过对比发现:
图 10 车辆抵御侧风能力
在直线和曲线上抵御侧风能力变化趋势相同,随着车速增加,车体抵御侧风能力越来越弱;在大超高曲线上,车体抵御侧风能力较直线更弱。
5.2 参数化研究(各参数的敏感性)
车体受到横风扰动,会产生6个方向的力和力矩,为了弄清楚6个空气动力系数(cfx,cfy,cfz,cmx,cmy,cmz)对侧风稳定性的影响程度,现将其中一个参数变为原来的10倍和0.1倍,其他参数保持不变,统计抗侧风能力。通过对比图11发现,侧向力和侧滚力矩系数影响较大。
图 11 空气动力系数对车体侧风稳定性的影响
(选取工况:aq=0,vvehicle=250m/s)
6 结论
高速列车保证侧风情况下持续稳定运行,车速具有明确的特征,即满足倾覆系数不大于 0.9 的要求;本文以动车组中最轻的列车作为主要研究工作,分析不同车速下侧风速度变化规律。通过上述研究工作,可以得到如下主要结论:
(1) 6 个空气动力系数对侧风力和力矩具有影响,但是,侧向力和倾覆力矩系数最为敏感,对车体抵御侧风扰动影响最大。
(2) 侧风稳定性问题必须受到重视,随着车速提高,抵御侧风能力将变弱,高速列车由于车速比较高,受侧风影响比常规车的影响大。
资料来源:达索官方
2025-12-05
[行业资讯] simulia简介-abaqus代理经销商思茂信息
2025-12-05
[行业资讯] 如何合理选购abaqus软件并获取报价?达索代理商思茂信息
2025-12-05
[行业资讯] 思茂信息亮相2025省博士创新站活动 共探产学研新路径
2025-12-02
[cst] cst软件探索eft虚拟测试:从iec标准到3d仿真实战
2025-12-01
[abaqus] abaqus中理想弹塑性模型和弹塑性硬化模型区别
2025-11-28
2025-11-28
2025-11-28
[abaqus] 上课啦!达索系统 simulia abaqus pcb仿真
2025-11-26
[cst] 无参优化器:利用cst和tosca进行拓扑优化之单极天线(
2025-11-26
2023-08-29
2023-08-24
[abaqus] abaqus如何建模?abaqus有限元分析教程
2023-07-07
[abaqus] 有限元分析软件abaqus单位在哪设置?【操作教程】
2023-09-05
[abaqus] abaqus软件中interaction功能模块中的绑定接
2023-07-19
[abaqus] abaqus怎么撤回上一步操作?abauqs教程
2024-05-01
[abaqus] abaqus里面s11、s12和u1、u2是什么意思?s和
2023-08-30
[abaqus] abaqus单位对应关系及参数介绍-abaqus软件
2023-11-20
[abaqus] abaqus软件教程|场变量输出历史变量输出
2023-07-18
[abaqus] abaqus中的s、u、v、e、cf分别是什么意思?
2024-05-11
[行业资讯] simulia简介-abaqus代理经销商思茂信息
2025-12-05
2025-12-05
[行业资讯] 如何合理选购abaqus软件并获取报价?达索代理商思茂信息
2025-12-05
[行业资讯] 思茂信息亮相2025省博士创新站活动 共探产学研新路径
2025-12-02
[行业资讯] 正版abaqus全国代理商:思茂信息——达索授权认证
2025-11-25
[行业资讯] 怎么联系cst studio suite代理商?达索sim
2025-11-25
2025-11-24
[行业资讯] 广东有限元分析软件abaqus采购指南-认准达索授权思茂信
2025-11-21
[行业资讯] 达索abaqus、cst代理商采购流程-指定授权代理商思茂
2025-11-21
[行业资讯] 广东2025半导体及零部件学会发展论坛落幕,广州思茂信息获
2025-11-20
地址: 广州市天河区天河北路663号广东省机械研究所8栋9层 电话:020-38921052 传真:020-38921345 邮箱:thinks@think-s.com
和记娱乐app官网登录 copyright © 2010-2023 广州思茂信息科技有限公司 all rights reserved. 粤icp备11003060号-2