1. 背景简介
abaqus是国际上最先进的大型通用有限元计算分析软件之一,具有强健的计算功能和广泛的模拟性能,拥有大量不同种类的单元模型、材料模型和分析过程等。无论是简单的线性问题还是变化的接触条件非线性问题,应用abaqus计算分析都能得到令人满意的计算分析结果。
螺纹联接广泛用于飞机、汽车、船舶等各种机械结构中,螺纹联接的松弛、螺栓断裂和内螺孔的锈死、螺纹滑牙断裂等严重地影响着各种被联接结构工件的可靠性[2]。汽车螺纹副的装配扭矩(简称汽车扭矩)与汽车的装配质量和安全性能有紧密的关系。由于汽车大部分零件的联接、紧固是依靠螺纹副的联接,并通过一定的扭矩来保证其紧固质量。如果零件紧固形式失效,将会造成严重的质量、安全事故。如当扭矩过大,汽车在运动过程中,联接部分出现过载的内应力,造成联结螺栓断裂或产生裂纹,发生事故。另外,联结螺纹会出现滑牙,紧固形式失效;当扭矩过小,联接件松动,在汽车运动时产生的震动中,容易出现零件松脱,造成事故。
近年来,采用abaqus/standard对发动机关键结构件进行可靠性计算应用非常广泛。利用cae技术对螺纹连接机械结构进行开发,可以给设计及维修提供重要依据,这样才能在前期设计阶段设计出可靠的螺栓连接结构。本文介绍了在某发动机正向开发过程中,针对发动机前罩壳上皮带惰轮安装搭子螺栓连接结构可靠性,利用abaqus/standard软件进行结构强度分析,并与试验进行了对比,说明了仿真 计算结果的正确性,指导了发动机螺栓连接可靠性设计,取得了良好的工程应用效果。
2. 有限元模型的建立
2.1 几何模型的建立
前罩壳惰轮安装搭子螺栓连接结构螺栓采用普通粗牙,本次仿真计算采用proe5.0建立实体几何模型,考虑到螺纹副强度计算属于精密部件计算,因此有必要考虑具体的螺纹连接结构内外螺纹的基本尺寸和内外螺纹之间的配合公差,外螺纹的基本尺寸参考国标《gb/t 196-2003 普通螺纹基本尺寸》进行建模,根据螺纹副之间的配合公差参考国标《gb/t 197-2003普通螺纹公差》对内螺纹进行建模,先分别建立各个部件模型,再对各个部件模型进行装配,获得本次计算分析的准确装配实体模型。
2.2 材料参数的确定
本次计算中外螺纹为螺栓,其等级为 10.9 级,内螺纹为发动机前罩壳上的皮带惰轮安装搭子,支撑结构为惰轮,各部件的材料特性如表 1 所示。计算中考虑材料非线性及接触非线性,接触之间的摩擦系数为 0.15。
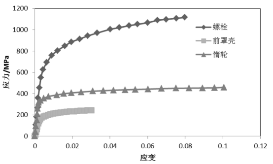
根据各部件之间的基本材料特性参数,通过疲劳计算软件 femfat 所自带的材料库及各部件成型工艺,拟合生成各个部件材料的应力应变曲线如图 1 所示。
图 1. 螺栓连接结构各部件材料的应力应变曲线
2.3 有限元模型的建立
根据经验和相关研究文献[5],考虑到结构的对称性,将螺栓简化为二维轴对称模型,不考虑螺纹的旋程,螺栓规格为 m12*1.25,其中螺栓的旋合长度为 25mm。前罩壳惰轮搭子螺栓连接结构简化有限元模型如图 2a 所示,网格划分采用 hypermesh13.0,单元数为60312,节点数为 62229,单元类型为 cax4i,为保证计算结果的精确性,对内外螺纹螺牙接触面上的网格划分时节点进行了一一对应,如图 2b 所示。对螺牙根部进行了网格加密。在初始分析步约束螺栓轴线所有节点 x 方向位移,同时约束前罩壳底部所有节点 y 方向位移,在螺栓中间截面施加螺栓预紧力,螺栓预紧力的大小根据所选择螺栓的等级确定,考虑到实际使用中螺栓预紧扭矩存在散差,本次计算螺栓的预紧力范围为 25300n 到 36800n,计算中根据最大预紧力即 36800n 来确定螺栓连接结构是否安全可靠,因此本次计算螺栓中间截面所施加的预紧力大小为 36800n。螺栓与上支撑、螺栓外螺纹与前罩壳内螺纹、前罩壳与上支撑分别建立接触对,接触选用小滑移。
图 2. 有限元模型
3. 计算结果及分析
3.1 螺栓应力场计算结果
图 3 给出了螺栓应力场计算结果。从图可以看出,整个螺栓的外螺纹都没有出现屈服,且整个螺栓没有出现断裂风险,螺栓头部出现塑性区。因此,采用螺栓等级为 10.9 级的螺栓,可以确定前罩壳皮带惰轮搭子螺栓连接结构螺栓结构可靠,螺纹不存在滑牙风险,满足设计要求。
图 3. 螺栓应力场计算结果
3.2 前罩壳搭子应力场计算结果
图 4 给出了前罩壳及内螺纹应力场计算结果。从图 4a 计算结果可以看出,被连接件内螺纹没有出现全部塑性变形,只有倒数第三和第四牙没有出现塑性变形,其余螺牙都有塑性变形,前四牙塑性变形的区域更大一些,其次凸台根部也出现了很大的塑性区;从图 4b可以看出,前罩壳内螺纹前六牙最大应力超过了材料的抗拉极限,因此内螺纹前六牙存在断裂风险,并且前罩壳凸台根部最大应力也超过了材料的抗拉极限,凸台根部也存在断裂风险。总之,结合图 4a 和图 4b 计算结果可以得出,前罩壳内螺纹存在一定的滑牙风险,然而,前罩壳凸台首先断裂,即前罩壳惰轮搭子凸台断裂先于前罩壳内螺纹滑牙。
图 4. 图片标签实例
3.3 试验结果
为了验证 abaqus/standard 在发动机前罩壳惰轮安装搭子仿真计算结果的准确性,对前罩壳惰轮安装搭子螺栓连接结构进行了拧紧试验,试验时将前罩壳固定,用扭矩扳手施加螺栓预紧力,直到前罩壳凸台出现断裂现象,此时记录螺栓破坏力矩。图 5 给出了试验结果,可以看出惰轮安装搭子凸台出现了断裂,且断裂破坏力矩约为 50nm,接近螺栓所施加的最大预紧力。对比试验结果可仿真计算结果,可以看出试验结果与 abaqus/standard 仿真计算结果相一致,即前罩壳惰轮安装搭子凸台先断裂,且此时的断裂破坏力矩与仿真计算中所施加的螺栓预紧力接近,说明了仿真计算结果的准确性。
图 5. 前罩壳搭子凸台断裂试验
4. 结论
本文用 abaqus/standard 软件模块对某发动机前罩壳惰轮安装搭子螺栓连接结构可靠性进行了仿真计算分析,结果表明,搭子凸台发生断裂,进一步与前罩壳惰轮安装搭子破坏断裂试验进行了对比,试验结果与计算结果吻合较好,说明 abaqus/standard 可以用于螺栓连接结构螺栓与被连接件断裂和内螺纹滑牙的可靠性仿真计算分析。
资料来源:达索官方
2025-12-05
[行业资讯] simulia简介-abaqus代理经销商思茂信息
2025-12-05
[行业资讯] 如何合理选购abaqus软件并获取报价?达索代理商思茂信息
2025-12-05
[行业资讯] 思茂信息亮相2025省博士创新站活动 共探产学研新路径
2025-12-02
[cst] cst软件探索eft虚拟测试:从iec标准到3d仿真实战
2025-12-01
[abaqus] abaqus中理想弹塑性模型和弹塑性硬化模型区别
2025-11-28
2025-11-28
2025-11-28
[abaqus] 上课啦!达索系统 simulia abaqus pcb仿真
2025-11-26
[cst] 无参优化器:利用cst和tosca进行拓扑优化之单极天线(
2025-11-26
2023-08-29
2023-08-24
[abaqus] abaqus如何建模?abaqus有限元分析教程
2023-07-07
[abaqus] 有限元分析软件abaqus单位在哪设置?【操作教程】
2023-09-05
[abaqus] abaqus软件中interaction功能模块中的绑定接
2023-07-19
[abaqus] abaqus怎么撤回上一步操作?abauqs教程
2024-05-01
[abaqus] abaqus里面s11、s12和u1、u2是什么意思?s和
2023-08-30
[abaqus] abaqus单位对应关系及参数介绍-abaqus软件
2023-11-20
[abaqus] abaqus软件教程|场变量输出历史变量输出
2023-07-18
[abaqus] abaqus中的s、u、v、e、cf分别是什么意思?
2024-05-11
[行业资讯] simulia简介-abaqus代理经销商思茂信息
2025-12-05
2025-12-05
[行业资讯] 如何合理选购abaqus软件并获取报价?达索代理商思茂信息
2025-12-05
[行业资讯] 思茂信息亮相2025省博士创新站活动 共探产学研新路径
2025-12-02
[行业资讯] 正版abaqus全国代理商:思茂信息——达索授权认证
2025-11-25
[行业资讯] 怎么联系cst studio suite代理商?达索sim
2025-11-25
2025-11-24
[行业资讯] 广东有限元分析软件abaqus采购指南-认准达索授权思茂信
2025-11-21
[行业资讯] 达索abaqus、cst代理商采购流程-指定授权代理商思茂
2025-11-21
[行业资讯] 广东2025半导体及零部件学会发展论坛落幕,广州思茂信息获
2025-11-20
地址: 广州市天河区天河北路663号广东省机械研究所8栋9层 电话:020-38921052 传真:020-38921345 邮箱:thinks@think-s.com
和记娱乐app官网登录 copyright © 2010-2023 广州思茂信息科技有限公司 all rights reserved. 粤icp备11003060号-2