1. 简介
1.1 工程概况
科学的隧道通风管理,可以向隧道内部供给新鲜空气,降低隧道内的相对湿度,并排除有害气体、粉尘和炮烟等有害物质,以确保工作人员的安全性及舒适性[1]。当前工程项目中,隧道整体规模巨大,且隧道间交错复杂,如图 1 所示。如何合理的设计隧道走向并布置风机位置亟待解决。本文将以简单的隧道模型着手研究,待确定合理的分析方法后,会逐步对更为复杂的隧道组织结构进行分析。
图 1 隧道布置示意图
1.2 软件介绍
fmk 是以 3de 平台为基础,基于 rans 算法的 cfd 仿真工具。软件将有限元模型嵌入到 cad 及 plm 中,作为几何模型的特征,可随模型的变更而自动更新,加强了网格与几何数据间的关联。流体域自动提取的功能极大缩短了模型的前处理时间。非流体专家的用户指导界面,降低了对软件使用者的要求。软件同时提供本地和云端服务环境,其背靠 3de 平台,可提供统一环境下多物理场的分析及多尺度仿真及优化功能。
1.3 行业情况
利用 cfd 解决土木行业的工程问题已成为一种常见的方法与手段。 bert blocken 等基于 cfd 技术对平行建筑间通道风速进行模拟分析及研究 [2] 。袁凤东等用 cfd 技术对天津地铁站台空调气流进行模拟,并与实际情况进行对比评价了 cfd 技术的可行性[3]。官习艳等对哈尔滨地铁车站通风系统进行 cfd 模拟,评价了其通风方案[4]。本文将采用 fmk 作为 cfd 仿真工具对隧道通风进行分析。分析将基于稳态计算,对工程上关心的隧道内不同位置的气流流速,风机运行的影响范围及风机布置位置进行探索研究。
2. 分析方法
2.1 物理模型
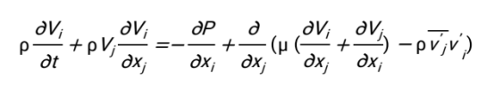
fmk 基于雷诺平均的 ns 方程(rans),采用有限体积法,对空间进行离散求解。根据流态的不同,fmk 可提供层流及湍流模拟功能。其中湍流模型包括:涡粘模型的单方程模型 spalart-allmara,及两方程模型 realizable −和 sst −。对边界层的求解用
混合壁面函数法,降低对近壁面网格的要求。对于稳态计算,fmk 采用压力耦合方程组的半隐式方法(simple)求解。rans 方程如下:
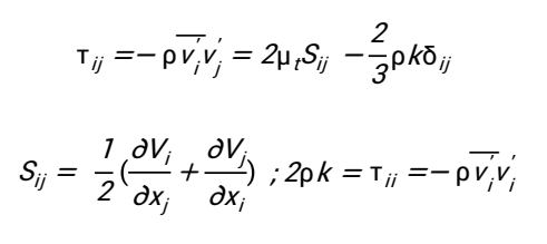
其中,− ρv' jv ' i 为引入时间平均产生的雷诺应力项。为使方程封闭,需引入新的方程
模拟雷诺应力项。根据布辛涅斯克近似,通过涡粘性和平均应变率的方法模拟雷诺应力项,称为涡粘模型,其方程为:
其中,μt 为有效湍流粘度,k 为湍动能。涡粘模型是各向同性的。有效湍流粘度是不均匀的,是空间变化的,是湍流长度和时间尺度的函数。软件中使用的涡粘模型及变量如下表 1 所示:
表 1 涡粘模型及其变量
本文仿真中,采用的是 realizable − 湍流模型。
模拟近壁面处速度边界层的常见方法包括低雷诺数法和壁面函数法。低雷诺数法要求
近壁面处网格尺寸非常精细,以准确的求解粘性底层,故计算成本十分昂贵。壁面函数法采用对数壁面函数作为壁面的边界条件,因不需对近壁面进行求解,其计算效率较高,但要求近壁面第一层网格节点落在对数层区,对网格划分要求极高。
混合壁面函数法是上述两种方法的结合,其连续的壁面函数涵盖了对粘性底层,对数层和过度层的求解。此方法降低了对网格的控制要求。当网格足够精细时,可再现低雷诺数求解法的准确性;当网格较为粗糙时,可再现壁面函数法的高效性。当近壁面网格第一层节点落在过度层区时,亦可获得较好的准确性。本文仿真采用了混合壁面函数的方法。
2.2 风机模拟
风机是隧道内的通风装置,对风机的模拟将直接影响整个隧道通风仿真的准确性。常见模拟旋转机械的方法包括 mrf 法,滑移网格法,及简化模型的流量压降方法。本文采用 fmk 中的 internal fan 功能,用流量压降的方法模拟风扇的抽吸效应。
常见的流量压降方法需提供流量压降曲线,如图 2 所示。本文尚未获得隧道内风机的完整流量压降性能曲线,故根据现有数据,选择流量为 31.1 m³/s 压降 600pa 的工况作为风扇模拟的边界条件。其对气流的引到效果如图 3 y0 截面速度云图所示。
图 2 风机流量压降曲线示意图
图 3 y0 截面速度云图
2.3 网格无关性验证
网格划分的尺寸会对计算结果的准确性产生较大的影响。为降低网格尺寸带来的影响,在仿真分析时,有必要进行网格无关性的验证。对于隧道通风问题,相对于整个隧道内的压降损失,工程上更关心主流区域内的气流流速。故可以采用较粗的网格布置,以降低仿真总时长,提高计算效率。根据内流道仿真常见的网格布置方法,对表 2 所示的几组网格划分参数进行了网格相关性的验证。最终选择方案 1 作为网格尺寸的划分方法。
表 2 网格划分参数
3. 分析结果
3.1 计算模型
以单主洞单支洞的隧道模型作为研究对象。隧道全长约2.5公里,断面直径约10m,风机为双排布置,风机直径约1.2m,共计28个。模型经过简化处理,风扇以圆面替代,并去掉了隧道下方两侧的排水沟台阶过度。整体模型如图4所示。
图 4. 单主洞单支洞隧道模型
仿真设置为稳态计算,采用了realizable − 湍流模型。采用上述方案1的网格划分策略,网格总数约为395万。入口条件为总压流滞入口, 出口为表面压力出口。风扇边界条件采用流量为 31.1 m³/s ,压降 为600pa 的工况。仿真模型设置如图5所示。
图 5. 仿真模型设置
3.2 流场结果分析
隧道整体的流线图如图 6 所示。从隧道内流线分布情况可知,出口 2 所在的隧道内的风扇布置位置,并未明显改变主洞内的气流流向。
图 6. 速度流线分布图
风扇所在截面位置处的速度云图如图 7 所示。从隧道岔口处的速度截面云图可知,出
口 2 所在隧道内的风扇,并未明显改变主隧道内的气流流向。
图 7. 截面速度云图
主洞内的气流流速可通过速度流线图进行观察。根据速度流线图的不同标尺,可知,隧道内,主洞中,多数气流流速在 6 m/s 以上,气流流速主要集中在 6-15 m/s 之间,风扇处气流流速较高。
图 8. 速度流线图
4. 优化设计
4.1 调整风机布置位置
为改善支洞内的气流流动,在主洞与支洞过度处,靠支洞洞口新增风机,风机为双排布置,尺寸与性能参数同隧道内其他的风机相同。布置示意图如图 9 所示。在出口 2 所在的隧道岔口处布置新的风机后,原主隧道内的气流流向有被抽吸至出口 2 所在的隧道内,如图 10 所示。
图 9. 风机布置示意图
图 10. 新风机布置速度流线图
在支洞内新增两排风机后,根据速度流线图的不同标尺可知,主洞内气流流速整体变化不大。多数气流流速在 6 m/s 以上,气流流速主要集中在 6-15 m/s 之间。其中,风扇处的气流流速较高。 速度流线图如图 11 所示。支洞内由于新增风机的影响,气流组织明显变化。在新增风扇作用下,部分气流从主隧道被抽吸至出口 2 所在的隧道内。与主隧道相比,出口 2 所在隧道内的气流流动的平稳性及均匀性相对较差。出口 2 所在隧道内的,两排风扇间的气流流速较慢,最低约 0.2 m/s,岔口处速度约为 3~5 m/s。速度流线图如图12 所示。
图 11. 新风机主洞内速度流线图
图 12. 新风机支洞内速度流线图
4.2 调整隧道交汇位置
为更好的引导气流进入支洞,考虑调整支洞与主洞的过度方式。如可以将支洞以更延缓的方式与主洞进行交汇。如图 13 示意。但工程上有诸多限制约束,如挖掘隧道时的避让问题及延长支洞过度所产生的成本增加问题。设计师结合工程实际情况,在矿车允许通过的情况下,设计如图 14 所示的隧道过度结构。
图 13. 理想支洞过度示意图 图 14. 设计支洞过度示意图
由于设计出的圆角过渡范围较小,在当前工况下并不能起到很好的导流效果。但隧道内的通风系统会根据不同的使用场景进行改变,当在特定的工作状态下,如图 15 所示,可观察到,对隧道交汇位置进行处理后,支洞内的气流流速有较为明显的提升。如图 16所示。
图 15. 分析工况示意图
图 16. 速度截面云图及速度流线图
5. 结论
本文用 fmk 计算隧道内的通风情况,研究隧道内的气流流动状态。从单主洞单支洞的隧道仿真结果来看,得到的结论与工程师的工程经验较为吻合,在工程可接受范围内通过对道内风机位置的布置调整及隧道交汇处位置的优化,可以在一定程度上达到改善隧道内气流流速较低的问题。简单隧道模型的仿真结果标定,将为下一步研究更为复杂的隧道组织结果打下基础。
资料来源:达索官方
2025-12-05
[行业资讯] simulia简介-abaqus代理经销商思茂信息
2025-12-05
[行业资讯] 如何合理选购abaqus软件并获取报价?达索代理商思茂信息
2025-12-05
[行业资讯] 思茂信息亮相2025省博士创新站活动 共探产学研新路径
2025-12-02
[cst] cst软件探索eft虚拟测试:从iec标准到3d仿真实战
2025-12-01
[abaqus] abaqus中理想弹塑性模型和弹塑性硬化模型区别
2025-11-28
2025-11-28
2025-11-28
[abaqus] 上课啦!达索系统 simulia abaqus pcb仿真
2025-11-26
[cst] 无参优化器:利用cst和tosca进行拓扑优化之单极天线(
2025-11-26
2023-08-29
2023-08-24
[abaqus] abaqus如何建模?abaqus有限元分析教程
2023-07-07
[abaqus] 有限元分析软件abaqus单位在哪设置?【操作教程】
2023-09-05
[abaqus] abaqus软件中interaction功能模块中的绑定接
2023-07-19
[abaqus] abaqus怎么撤回上一步操作?abauqs教程
2024-05-01
[abaqus] abaqus里面s11、s12和u1、u2是什么意思?s和
2023-08-30
[abaqus] abaqus单位对应关系及参数介绍-abaqus软件
2023-11-20
[abaqus] abaqus软件教程|场变量输出历史变量输出
2023-07-18
[abaqus] abaqus中的s、u、v、e、cf分别是什么意思?
2024-05-11
[行业资讯] simulia简介-abaqus代理经销商思茂信息
2025-12-05
2025-12-05
[行业资讯] 如何合理选购abaqus软件并获取报价?达索代理商思茂信息
2025-12-05
[行业资讯] 思茂信息亮相2025省博士创新站活动 共探产学研新路径
2025-12-02
[行业资讯] 正版abaqus全国代理商:思茂信息——达索授权认证
2025-11-25
[行业资讯] 怎么联系cst studio suite代理商?达索sim
2025-11-25
2025-11-24
[行业资讯] 广东有限元分析软件abaqus采购指南-认准达索授权思茂信
2025-11-21
[行业资讯] 达索abaqus、cst代理商采购流程-指定授权代理商思茂
2025-11-21
[行业资讯] 广东2025半导体及零部件学会发展论坛落幕,广州思茂信息获
2025-11-20
地址: 广州市天河区天河北路663号广东省机械研究所8栋9层 电话:020-38921052 传真:020-38921345 邮箱:thinks@think-s.com
和记娱乐app官网登录 copyright © 2010-2023 广州思茂信息科技有限公司 all rights reserved. 粤icp备11003060号-2