1. 简介
城市重要建筑的地震安全水平及韧性水平由于现代抗震及减震控制技术的大量应用正在获得实质性提高,但其水平到底如何,最终提高到什么水平才能满足经济发展对于地震安全性的诉求,需要一个客观的评价标准和技术体系。因此,基于韧性的抗震设计可以进一步指导工程结构的利益相关者采取更加合适的措施,去改进或提高其韧性能力,或者采取其它的防灾备灾预案,从而达到更加有效的减灾目标(邵亦文,2015)。而本文主要从多尺度下进行抛砖引玉,给出区域建筑地震仿真分析的实例。本文仅探究城市区域性建筑的建筑结构系统抗震分析,暂不讨论地震后城市引发的次生灾害及非结构构件等其他评估。旨在对于区域地震进行可用于韧性评估较准确的精细化分析。
由于土木工程的研究对象是材料、构件、结构、建筑、社区、城市等多尺度的范围,地震灾害会对各类受灾体造成损伤,因此无论是小到一种材料、一个个体,还是大到一座城市区域,都存在韧性的问题。从多尺度角度进行问题的拆分层次看,将区域建筑拆分成单体建筑,进而拆分成构件,进而研究材料本构,如图 1 所示。从本文的验证研究思路将从本构模型验证到构件验证,进而到单体建筑最后到区域建筑模拟分析。
图 1. 城市建筑地震安全性分析层次. 2. 材料本构及构件模型解读与分析
2.1 材料模型
当遭遇强烈地震作用时,结构进入非线性阶段,其材料特性发生较大改变,只进行线弹性阶段的分析会造成较大误差,因此在进行建筑结构时程分析中应考虑材料的非线性。
2.1.1 混凝土
2.1.1.1 常规墙板采用软件自带 cdp
abaqus 中,软件自带的有两种常用的适用于混凝土的本构材料模型,分别为混凝土弥散裂缝模型(concrete smeared cracking)和混凝土塑性损伤模型(concrete damaged plastici-ty),前者以裂缝模型为基础,一般适用于带有钢筋特性的混凝土,仅适用于单调加载分析;后者以损伤模型为基础,考虑了损伤效应,可用于往复荷载作用分析,适用于模拟地震工况下的混凝土力学行为(lubliner,1989;lee,1998)。
在使用 abaqus 结合《混凝土结构设计规范》gb50010-2010 对结构进行弹塑性分析时,其中规范中的“损伤演化参数”dc与 abaqus 中的“损伤因子”dc并不是一个概念,dc为应力应变曲线上的割线损伤,而 dc为卸载刚度损伤,如公式(1)所示。因而在根据规范中的本构模型计算输入 abaqus 塑性损伤参数的时候,要进行相应的转换。
一维混凝土材料模型采用规范指定的单轴本构模型,能反应混凝土滞回、刚度退化和强度退化等特性,其轴心抗压和轴心抗拉强度标准值按《混凝土结构设计规范》表 4.1.3 采用。混凝土单轴受拉的应力-应变曲线方程按附录 c 公式 c.2.3-1~c.2.3-4 计算,如图 2-图3 所示。
混凝土材料进入塑性状态伴随着刚度的降低。如应力-应变及损伤示意图所示,其刚度损伤分别由受拉损伤参数 dt和受压损伤参数 dc来表达,dt和 dc由混凝土材料进入塑性状态的程度决定(方秦,2007;陆新征,2009)。
二维混凝土本构模型采用弹塑性损伤模型,该模型能够考虑混凝土材料拉压强度差异、刚度及强度退化以及拉压循环裂缝闭合呈现的刚度恢复等性质。
当荷载从受拉变为受压时,混凝土材料的裂缝闭合,抗压刚度恢复至原有抗压刚度;当荷载从受压变为受拉时,混凝土的抗拉刚度不恢复,如图 4 所示。
图 2. cdp 模型受拉性能示意图
图 3. cdp 模型受压性能示意图
图 4. 混凝土拉压刚度恢复示意图
根据 abaqus 中的 cdp 模型开发 abscdp v1.0,可充分考虑试验修正值和非弹性应变步长,程序界面见图 5。
图 5. abscdp v1.0 界面示意图
2.1.1.2 关于杆系混凝土的 umat/vumat 子程序
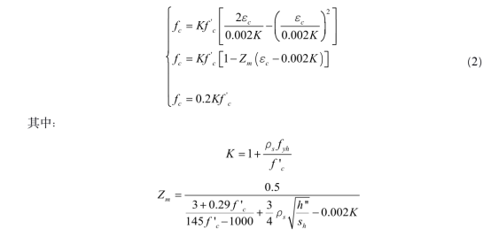
由于混凝土的 cdp 模型无法在杆系单元(b31/b32)中使用,所以这里采用了 kent- park的本构关系,利用 fortran 将该本构写入 umat 进行验证分析,并将 umat 的本构修改成 vumat 格式,对模型进行显式动力弹性分析。kent-park 的本构关系其考虑了箍筋作用对混凝土强度和应变的提高及不同加载速率对应力-应变关系的影响,见公式(2)。
式中 fc、εc分别为任一点的单轴压应力和相应的应力;f'c为圆柱体抗压强度;ρs为体
积配箍率,fyh为箍筋的屈服强度;h''为箍筋约束核心区混凝土的高度;sh为箍筋间距。opensees 中应用最多的 concrete01、concrete02(mckenna,1997)等混凝土单轴本构,如图 6 所示,采用这种形式。该模型的强化段以及软化段与广泛应用的(hognestad,1955)模型一致。
图 6. 混凝土单轴本构
2.1.2 钢筋
abaqus 软件自带的适用于动力分析下的钢材模型有等向强化模型与随动强化模型。等向强化即假设加载曲面是屈服曲面在形状、中心位置均不变的情况下做等向膨胀得到的;随动强化则假设加载曲面、屈服曲面只是发生中心位置的移动,两个曲面大小、形状保持一致。通过大量实验表明,材料的加载曲面与屈服曲面实际上既有中心位置的移动,也有曲面大小的改变,即介于等向强化和随动强化之间(毕继红,2008)。
本次模型中,钢材的本构选用随动强化模型,如图 7 所示,需要弹性模量、屈服强度以确定本构关系。该模型可以考虑包辛格效应,能够较好地描述钢材在往复作用下的弹塑性发展,并有较高的计算效率。钢材的强屈比设定为 1.2,极限应力所对应的极限塑性应变为 0.025。
图 7. 钢材动力硬化模型
2.2 构件建模
二维墙板采用分层壳单元,钢筋层采用钢材本构,混凝土采用 cdp,内置本构已经过大量验证,这里不再验证。一维杆系单元采用自主开发 umat/vumat 子程序进行计算分析,为验证本构正确性,取清华大学钢筋混凝土框架及关键构件试验数据库中的混凝土框架柱来进行验证模型分析。试验现场照片以及有限元模型分别见图 9。
由图 10 可知,模拟计算分析与试验的峰值与趋势吻合较好。模拟时,曲线负向向正向加载时刚度略大,原因是采用的钢筋本构为双折线,而钢筋存在软化现象。所以,将以上材料、构件模型综合起来即可建立超高层建筑与城市防灾仿真。
图 9. 混凝土框架柱有限元模型
图 10. 模拟与有限元对比
2.3 积分方法选取
对于城市防灾(地震)的分析,对结构进行的弹塑性分析将采用基于显式积分的动力弹塑性分析方法,这种分析方法未作任何理论的简化,直接模拟结构在地震力作用下的非线性反应,具有如下优越性:
(1)完全的动力时程特性:直接将地震波输入结构进行弹塑性时程分析,可以较好地反映在不同相位差情况下构件的内力分布,尤其是楼板的反复拉压受力状态;
(2)几何非线性:结构的动力平衡方程建立在结构变形后的几何状态上,“p-∆”效应,非线性屈曲效应等都被精确考虑;
(3)材料非线性:直接在材料应力-应变本构关系的水平上模拟;
(4)采用显式积分,可以准确模拟结构的破坏情况直至倒塌形态。
3. 高层建筑在罕遇地震下的动力弹塑性分析试算
目前,我国超高层建筑工程的建设规模已位居世界前列。超高层建筑体型优美,同时能为人们提供舒适办公和生活环境。由于其层数多,使用面积大,容纳人数较多,分析超高层结构在罕遇地震下的弹塑性响应,对于抗震设计有重要意义,并能实现城市建筑地震安全性水平及韧性的科学评价。
由于该分析的数据量较多,本文采用 matlab python 的形式辅助 abaqus 进行一系列分析及数据提取。
图 11. 高层有限元模型
3.2 地震波的选取
图 12 和图 13 分别给出了所输入的 el 波地震动加速度时程曲线、加速度反应谱。根据 gb50011-2010《建筑抗震设计规范》(2016 年版)的规定,截取该地震波的有效波长前30s 进行计算分析。修正 x 0.85y 输入烈度为 8 度罕遇 400gal。
图 12. el 波 x、y 向加速度时程
3.3 弹塑性时程分析结果
3.3.1 结构动力特性
结构的动力特性见表 1 所示,一阶周期为 4.17s。结构的前六阶模态如图 16 所示。
表 1. 结构各阶周期
图 15. 结构前 6 阶振型
3.3.2 层间位移角
在该地震波情况下最薄弱的地方是 5 号楼层,且 xy 方向的最大层间位移角为 1/91和 1/34,如图 17 所示。最大顶点位移 xy 分别为 0.144m 和 0.323m。
图 16. 结构 x、y 向层间位移角示意图
3.3.3 基底剪力
由图 18 可得到,在该地震波情况下,x 向的基地剪力为 128.3mn,y 向的基地剪力
为 97.5mn。
图 17. x、y 向基底剪力
3.3.4 层间剪力与倾覆力矩
结构层间剪力以及倾覆力矩分别见图 19 图 20。
图 18. x、y 向层间剪力
图 19. x、y 向倾覆力矩
3.3.5 结构应力与损伤破坏
梁柱和墙板的钢筋应力以及受拉受压损伤云图见图 21-图 26。
4. 区域建筑抗震案例
由上可验证得到材料→构件→单体建筑的分析验证,进一步的将构建城市区域建筑进行抛砖引玉的浅析。建立的区域建筑群模型如图 27 所示,仍采用 el 波 8 度罕遇地震进行输入,输入的地震波见图 28。
分析结果可得到城市变形以及损伤情况,分别见图 29 和图 30。损伤统计情况见表 2以及图 31。
图 26. 区域建筑模型
图 27. 区域建筑输入 el 地震波
图 28. 城市变形示意图
图 29. 城市梁柱受拉损伤过程示意图
表 2. 区域建筑损伤统计
5. 结论
本文基于有限元软件 abaqus,建立了一套从材料、构件、建筑再到城市的地震安全性的有限元技术体系。通过与既有试验数据进行对比,表明本文的本构模型具有较好的精度。并建立某超高层结构以及城市的动力弹塑性分析模型,通过施加了 el 波,研究了某超高层结构以及区域建筑在遭受罕遇地震作用下的弹塑性时程响应。这套技术体系可用于建筑地震安全性水平及结构层面水平的分析。基于 abaqus 为总结建筑地震韧性的评价流程做一个铺垫分析方法,对后续重要建筑地震韧性评价研究给了方法,为后续建筑地震韧性的定义及等级划分标准,以及对地震韧性的相关评价指标,建立损伤指数与功能损失之间的关系,做好铺垫分析。
资料来源:达索官方
2025-12-05
[行业资讯] simulia简介-abaqus代理经销商思茂信息
2025-12-05
[行业资讯] 如何合理选购abaqus软件并获取报价?达索代理商思茂信息
2025-12-05
[行业资讯] 思茂信息亮相2025省博士创新站活动 共探产学研新路径
2025-12-02
[cst] cst软件探索eft虚拟测试:从iec标准到3d仿真实战
2025-12-01
[abaqus] abaqus中理想弹塑性模型和弹塑性硬化模型区别
2025-11-28
2025-11-28
2025-11-28
[abaqus] 上课啦!达索系统 simulia abaqus pcb仿真
2025-11-26
[cst] 无参优化器:利用cst和tosca进行拓扑优化之单极天线(
2025-11-26
2023-08-29
2023-08-24
[abaqus] abaqus如何建模?abaqus有限元分析教程
2023-07-07
[abaqus] 有限元分析软件abaqus单位在哪设置?【操作教程】
2023-09-05
[abaqus] abaqus软件中interaction功能模块中的绑定接
2023-07-19
[abaqus] abaqus怎么撤回上一步操作?abauqs教程
2024-05-01
[abaqus] abaqus里面s11、s12和u1、u2是什么意思?s和
2023-08-30
[abaqus] abaqus单位对应关系及参数介绍-abaqus软件
2023-11-20
[abaqus] abaqus软件教程|场变量输出历史变量输出
2023-07-18
[abaqus] abaqus中的s、u、v、e、cf分别是什么意思?
2024-05-11
[行业资讯] simulia简介-abaqus代理经销商思茂信息
2025-12-05
2025-12-05
[行业资讯] 如何合理选购abaqus软件并获取报价?达索代理商思茂信息
2025-12-05
[行业资讯] 思茂信息亮相2025省博士创新站活动 共探产学研新路径
2025-12-02
[行业资讯] 正版abaqus全国代理商:思茂信息——达索授权认证
2025-11-25
[行业资讯] 怎么联系cst studio suite代理商?达索sim
2025-11-25
2025-11-24
[行业资讯] 广东有限元分析软件abaqus采购指南-认准达索授权思茂信
2025-11-21
[行业资讯] 达索abaqus、cst代理商采购流程-指定授权代理商思茂
2025-11-21
[行业资讯] 广东2025半导体及零部件学会发展论坛落幕,广州思茂信息获
2025-11-20
地址: 广州市天河区天河北路663号广东省机械研究所8栋9层 电话:020-38921052 传真:020-38921345 邮箱:thinks@think-s.com
和记娱乐app官网登录 copyright © 2010-2023 广州思茂信息科技有限公司 all rights reserved. 粤icp备11003060号-2