关键词: 随机振动;疲劳分析;fe-safe;电池箱体
1. 引言
近年来节能减排、发展清洁能源成为国家重要发展战略之一,其中电动汽车是我国汽车工业未来发展的一大趋势[1]。电池包是电动汽车能量供给的关键设备,电池箱体作为电池模组的载体,对模组的安全工作和防护起着关键的作用,影响整车的安全性[2]。电池箱体在车辆行驶过程中发生随机振动,研究随机激励下电池箱体的疲劳寿命具有重要意义。
本文基于abaqus和fe-safe,对某款混合动力汽车电池箱体进行了随机振动疲劳分析,找出了危险点位置,分析了危险点处疲劳寿命值低的原因,并给出了优化建议。
2. 随机振动疲劳分析方法
2.1 随机振动疲劳分析方法简介
随机振动疲劳分析方法主要有时域方法和频域方法[3]。
时域法首先对随机过程进行时域模拟,得到应力响应的时间历程,然后进行循环计数处理得到应力幅值信息,再根据材料的疲劳寿命曲线和疲劳累积损伤理论进行疲劳寿命估算。其关键是应力循环的计数方法,目前一般采用经典的“雨流循环计数”方法,“雨流循环计数”方法被认为是最准确的方法,但往往需要足够长的信号时间历程记录,涉及到很大的计算量,在工程实践中应用受到很大限制[4]。
随机激励下的疲劳寿命预测通常采用频域分析方法,频域方法的关键是将结构的应力响应功率谱密度函数(psd)转化为应力幅值概率密度函数(pdf),寿命预测的精度取决于应力幅值概率密度函数对真实应力幅值分布描述的准确性。多数频域分析方法都指定了其适用范围,如bendat模型适用于窄带随机过程,dirlik模型适用于宽带随机过程。
2.2 随机振动疲劳频域分析方法
miner线性累计损伤理论指出,在k个应力水平si作用下,各经受ni次循环,则可定义其
总损伤为:
其中:ni是在si作用下的循环次数,由载荷谱给出;ni是在si作用下循环到破坏的寿命,由s-n曲线确定[5]。对于连续状态,在时间t内和应力范围(si,si δsi)内的应力循环次数为:
其中,p(s)为应力幅值概率密度函数;e(p)表示单位时间内出现的应力循环次数,可由psd的惯性矩求得。若已知材料的s-n曲线:n(s)=ks-b,得到振动损伤的表达式:
损伤值d为1时结构发生破坏,此时疲劳寿命为:
因此,对振动疲劳寿命预测的关键是将结构的应力响应功率谱密度函数转化为应力幅值概
率密度函数p(s)。bendat假设窄带随机过程应力幅值服从rayleigh分布[6]:
其中,m0,m1,m2,m4分别为psd的0、1、2、4阶惯性矩,γ为不规则因子,可由psd的惯性矩求得。
3. 基于 abaqus 和 fe-safe 的随机振动疲劳分析流程
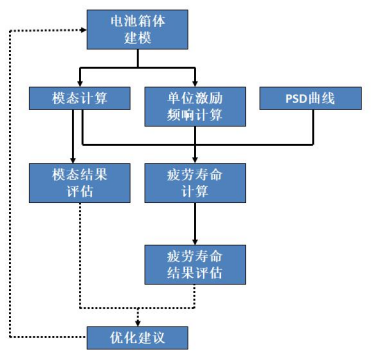
如图 1 所示,混合动力电池箱体随机振动疲劳计算包含两大步,第一步是在abaqus 软件中完成模态及单位激励频响两个计算;第二步是把这两个计算结果与 psd曲线一起输入到 fe-safe,进行疲劳寿命计算,得到疲劳寿命结果。分析结果的评估包括模态结果评估及疲劳寿命结果评估。模态结果评估标准为第一阶固有频率大于目标值;疲劳寿命结果评估标准为疲劳寿命最低值大于试验标准中规定的时间。
图 1 混合动力电池箱体随机振动疲劳分析流程
4. 建模和仿真
4.1 电池包有限元模型
应用 hypermesh 软件建立电池包有限元模型。计算模型中主要包括下箱体、水冷板、导热胶、模组及模组固定螺栓等零部件。由于上盖主要起防护作用,承载较小,计算模型中未考虑。搭建好的有限元模型如图 2 所示。
图 2 电池包有限元模型
传统的电池组简化方法是将电池组简化为质量点,再将质量点分布耦合到电池组安装点上。这种建模方法操作简单,计算量小,但此方法得到的质量分布与实际相差较大,且未考虑电池组自身的刚度对电池包固有频率的影响,计算精度不高。本分析中,采用了新的简化方法,将电池组简化为长方体,电池组质量均布于长方体上。与传统的简化方法相比,这种简化方法得到的质量分布更接近于实际,且考虑了电池组自身的刚度对电池包固有频率的影响(长方体的弹性模量可根据后续试验结果做适当调整)。
为了提高计算精度,电池组安装螺栓采用三维实体建模,且为了消除绑定约束引入的应力集中,螺栓连接处采用了共节点,如图 3 所示。
图 3 螺栓连接处采用共节点
4.2 psd 曲线的选取
分析中使用的 psd 曲线与应与随机振动试验中使用的 psd 曲线一致。国内外关于随机振动的测试标准或规范主要有 iso 12405-3、sae j2380、gb/t31467.3-2015 等[7-8]。随机振动试验中, 分别在 x、y、z 三个轴向施振,由于电池包在每个方向上的振动强度不同,不同方向的 psd 曲线也各不相同。
5. 分析结果评估
分析结果的评估包括模态结果评估及疲劳寿命结果评估。
1)模态结果评估标准为第一阶固有频率大于目标值;本分析中,由于电池组安装点位于下箱体主梁上且靠近电池包挂点,第一阶固有频率较高,满足标准要求。模态结果如图4 所示。
图 4 弯曲模态与绕 x 轴的翻转模态
2)疲劳寿命结果评估标准为疲劳寿命最低值大于试验标准中规定的时间。本分析中,有两处疲劳寿命值低于标准要求,如图 5 所示,疲劳寿命值低的原因主要是局部应力集中。
图 5 疲劳寿命结果
6. 改善疲劳性能的方法
当模态结果或疲劳寿命结果低于标准要求时,应分析原因并给出优化建议。一般情况下,提高固有频率有助于改善危险点处的疲劳性能。当第一阶固有频率低于目标值时,优化方向为提高第一阶固有频率;当第一阶固有频率高于目标值时,优化方向为改善局部应力集中。改善疲劳性能的常用方法有:
1)选择合理的下箱体主梁截面形状,增大主梁截面惯性矩,从而提高第一阶固有频率。如图6所示,截面b具有更好的抗弯性能。
图 6 截面 b 有更好的抗弯性能
2)电池组安装在下箱体主梁上,从而改善传力路径。
3)在挂点与下箱体侧壁间焊接加强筋以增加局部刚度,改善主梁上应力集中,如图 7所示。
图 7 焊接加强筋以增加局部刚度
本分析中,建议采用第三种方法,增加局部刚度,以改善下箱体主梁的疲劳性能。
7. 结论
电池箱体在车辆行驶过程中发生随机振动,研究随机激励下电池箱体的疲劳寿命具有重要意义。本文介绍了随机振动疲劳分析方法,建立了基于abaqus和fe-safe的电池箱体随机振动疲劳分析流程。基于此流程,对某款混合动力汽车电池箱体进行了随机振动疲劳分析,找出了危险点位置,分析了危险点处疲劳寿命值低的原因,并给出了优化建议。随机振动疲劳分析可以准确预测随机激励作用下电池箱体的疲劳寿命及发生疲劳破坏的位置,从而提高设计鲁棒性,减少试验次数,缩短设计开发周期,降低设计开发成本。
资料来源:达索官方
2025-12-05
[行业资讯] simulia简介-abaqus代理经销商思茂信息
2025-12-05
[行业资讯] 如何合理选购abaqus软件并获取报价?达索代理商思茂信息
2025-12-05
[行业资讯] 思茂信息亮相2025省博士创新站活动 共探产学研新路径
2025-12-02
[cst] cst软件探索eft虚拟测试:从iec标准到3d仿真实战
2025-12-01
[abaqus] abaqus中理想弹塑性模型和弹塑性硬化模型区别
2025-11-28
2025-11-28
2025-11-28
[abaqus] 上课啦!达索系统 simulia abaqus pcb仿真
2025-11-26
[cst] 无参优化器:利用cst和tosca进行拓扑优化之单极天线(
2025-11-26
2023-08-29
2023-08-24
[abaqus] abaqus如何建模?abaqus有限元分析教程
2023-07-07
[abaqus] 有限元分析软件abaqus单位在哪设置?【操作教程】
2023-09-05
[abaqus] abaqus软件中interaction功能模块中的绑定接
2023-07-19
[abaqus] abaqus怎么撤回上一步操作?abauqs教程
2024-05-01
[abaqus] abaqus里面s11、s12和u1、u2是什么意思?s和
2023-08-30
[abaqus] abaqus单位对应关系及参数介绍-abaqus软件
2023-11-20
[abaqus] abaqus软件教程|场变量输出历史变量输出
2023-07-18
[abaqus] abaqus中的s、u、v、e、cf分别是什么意思?
2024-05-11
[行业资讯] simulia简介-abaqus代理经销商思茂信息
2025-12-05
2025-12-05
[行业资讯] 如何合理选购abaqus软件并获取报价?达索代理商思茂信息
2025-12-05
[行业资讯] 思茂信息亮相2025省博士创新站活动 共探产学研新路径
2025-12-02
[行业资讯] 正版abaqus全国代理商:思茂信息——达索授权认证
2025-11-25
[行业资讯] 怎么联系cst studio suite代理商?达索sim
2025-11-25
2025-11-24
[行业资讯] 广东有限元分析软件abaqus采购指南-认准达索授权思茂信
2025-11-21
[行业资讯] 达索abaqus、cst代理商采购流程-指定授权代理商思茂
2025-11-21
[行业资讯] 广东2025半导体及零部件学会发展论坛落幕,广州思茂信息获
2025-11-20
地址: 广州市天河区天河北路663号广东省机械研究所8栋9层 电话:020-38921052 传真:020-38921345 邮箱:thinks@think-s.com
和记娱乐app官网登录 copyright © 2010-2023 广州思茂信息科技有限公司 all rights reserved. 粤icp备11003060号-2