2014~2015 年英国哈伯里区域一铁路边坡发生大型滑坡(滑坡位置见图 1),该区域曾有滑坡的历史,于 2014 年 2 月边坡失稳后,采用削坡加固的方式进行了补救工作。2014 年 11 月 23日,在修复工程期间,边坡再次发生了约 40 米长的破坏。2015 年 1 月 31 日,西侧坡面发生大规模滑坡,立即进行了补救工作。
图 1 滑坡位置图
滑坡区域由裸露的泥岩和下部石灰岩地层构成,上部区域存在竖直分布的淤泥断层(见图
2),勘测开裂区域位于断层处(见图 3)。实际地勘资料表明强降雨导致的地下水位抬高导致上部泥岩边坡发生了沿石灰岩上表面的滑动,进而造成淤泥层破坏是本次滑坡的主要诱因,但仍需通过流固耦合模型[1~3]进行结果验证。
本文根据滑坡调查报告数据,采用 abaqus 有限元软件建立了边坡的流固耦合模型,采用收敛性强、精度高的主面-从面接触算法模拟泥岩-石灰岩之间的相互作用,使用强度折减法计算正常运行工况和地下水位抬升工况下边坡的安全因子,定量分析淤泥断层土强度和泥岩-石灰岩之间的摩擦系数对边坡稳定性的影响,并依据分析结果验证了地勘报告关于滑坡成因的结论。
图 2 淤泥断层示意图
图 3 开裂位置
2.边坡流固耦合模型
2.1 模型基本假定
计算模型的建立是一个考虑多方面因素的综合问题,本文计算模型有如下假定:
(1)土体为各向同性弹塑性材料,采用 mohr—coulomb 模型为其本构模型。
(2)采用接触算法模拟泥岩和石灰岩之间的相互作用。
(3)采用有限元强度折减法分析边坡的稳定性,安全因子由特征点横向位移 u1 和折减系
数 fv1 关系曲线的拐点确定。
(4)沿着长度方向结构截面尺寸基本不变,视为平面应变问题进行分析计算。
(5)采用瞬态渗流分析模拟地下水位抬高的现象。
2.2 模型参数
本文采用 mohr—coulomb 本构模型[4]来描述土体的塑性行为(所需物理参数见表 1)。瞬态渗流需考虑土体非饱和特性,采用非饱和算法[5]来模拟土体浸润线以上区域的渗流现象(基质吸力曲线见图 4)
表 1 土体物理参数
图 4 非饱和土体基质吸力曲线
2.3 模型边界条件
合理地定义模型边界条件对数值分析结果的精确性与可靠性影响较大。依据实际工程勘测资料,确定模型几何尺寸,根据结构的实际受力状态,模型侧面限制横向位移,底面限制横向与竖向位移。模型外荷载为土体自重w,初始地下水位z1设置为模型内高度12m。
2.4 网格划分
流固耦合模型的网格划分方案是决定分析精度与计算收敛性关键点,合理的网格划分方案应综合考虑计算机的硬件能力与计算分析的时间分配,并避免“沙漏现象”。参考前人经验,本文模型的网格划分方案采取关键部位加密划分,非关键部位适当放宽密度的网格划分方案,土体单元选取在流固耦合分析中有着较强收敛性的孔压单元 cpe6mp,(具体网格划分见图 5)。
图 5 网格划分示意图
2.5 相互作用模拟
相互作用是岩土工程数值模拟的关键问题,选择合适的接触模式与合理的接触算法能够有效提高数值分析的精确性和收敛性。本文采用收敛性强、精度高的主面-从面接触算法模拟泥岩-石灰岩之间的相互作用[6],取摩擦系数μ=tan(0.75φ)较为合理,即μ=0.384(其中φ为上部泥岩摩擦角)。接触算法设置为罚函数法。求解岩土问题时,结构的位移通常较大,需在起始地应力分析步中打开大变形开关。将接触的跟踪算法设置为有限滑移法(finite sliding),接触面设置为切向“弹性滑移变形”,法向“默认硬接触”。
abaqus 分析计算是根据用户设置的步长依次计算每一个分析步的每一帧,在任一次计算前,abaqus 都会调用上一次计算得到的数据库中各从面节点到主面的距离参数(copen),并判断 copen 的值,若 copen 大于零,则表明此处从面节点与主面脱开,不存在接触;若小于零,则主面与从面间存在接触,若主-从面之间发生了相对滑动或存在发生滑动的趋势,则根据摩擦定律r=uo计算沿着两面切线方向的接触力。
3.边坡稳定性分析
本次研究采用大型通用有限元软件 abaqus 建立了流固耦合模型,采用有限元强度折减法计算了边坡的安全因子,分析了夹层土体粘聚力 c、内摩擦角φ泥岩和石灰岩之间的摩擦系数μ以及地下水位差值∆z 对边坡稳定性的影响。并依据分析结果提出了相应的建议,以供工程设计参考。
3.1 正常运行期稳态渗流分析
3.1.1 渗流分析
强降雨前,采用稳态渗流分析边坡内部的流场情况,此时边坡的安全因子代表着正常运行期工况下边坡的稳定性。正常运行期边坡的稳定性分析能为后文地下水位抬升时瞬态渗流工况下边坡的稳定性分析提供对比与验证,进而论证“边坡失稳由地下水位抬高引起”这一根本观点。
提取流固耦合模型的渗流场(见图 6)。由图 6 可知,abaqus 计算的渗流场较为合理,浸润线为饱和土与非饱和土的分界线,基质吸力曲线能够合理地反映土体的非饱和特性。
(a)孔隙水压力分布
(b)浸润线
(c)饱和度
图 6 渗流场
3.1.2 稳定性分析
以下部边坡坡顶为特征点,绘制特征点横向位移 u1 和折减系数 fv1 的关系曲线(见图 7)。
由图 7 可知,当折减系数逐渐增大,特征点的横向位移 u1 逐渐增大,当折减系数达到某一临界值时,断层土体进入塑性破坏阶段,u1~fv1 曲线出现陡降,此时的折减系数 fv1=1.460 即为边坡的安全因子,大于规范允许值,表明边坡处于较为稳定的状态。
图 7 u1~fv1关系曲线
提取结构失稳时的位移图(见图 8)和塑性区域云图(见图 9)。由图 8、9 可知,随着强度折减系数的增大,断层土体迅速进入塑性破化阶段,土体变形急剧增大,左下方泥岩沿着石灰岩上表面发生了近似刚体的横向滑动。
(a)位移云图
(b)位移矢量图
图 8 位移图
图 9 塑性区域云图
3.2 地下水位抬高瞬态渗流分析
3.2.1 渗流分析
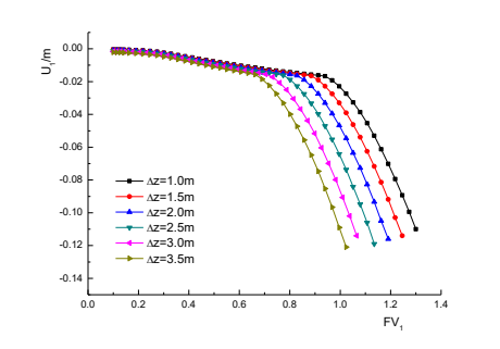
地下水位抬升会改变边坡孔隙水压力分布,进而对边坡结构的稳定性造成影响。建立不同地下水位差时的流固耦合模型,依据模型计算结果,绘制地下水位差∆z=1.0m 和 3.5m 时边坡的渗流场(见图 10、11)。由图 10、11 可知,地下水位抬高对边坡渗流场存在较大影响,差值越大,边坡内部浸润线高度越高,饱和区域越大,最大孔隙水压力越大。
图 10 地下水变动后孔隙水压力云图
图 11 地下水变动后饱和度云图
3.2.2 稳定性分析
地下水位抬升后,边坡内饱和区域范围扩大,孔隙水压力提高,这对边坡土体有两方面影响。首先是饱和区域扩大导致土体重度增大,下滑力提升。其次 abaqus 采用有效应力法计算流固耦合模型,有效应力对土体的强度指标存在影响,而有效应力σ=σs-σp(σs 为土内应力、σp为孔隙水压力)。即相同土体参数下,地下水位越高,饱和区域越大,有效应力越小,安全因子越低。
以下部边坡坡顶为特征点,绘制 u1~fv1 关系曲线(见图 12);绘制安全因子与水位差值的关系曲线(见图 13)。由图 12、13 可知,地下水位差值对边坡稳定性存在影响,水位抬高后,边坡内部浸润线升高,饱和区域增大,孔隙水压力增加。进而导致有效应力减小,土体重度增大。
边坡稳定性与地下水位差值呈反比,地下水位差值越大,u1~fv1 曲线出现陡降现象越早,安全因子越低。
图 12 不同地下水涨幅 u1~fv1 关系曲线
图 13 安全因子与地下水位差值∆z 关系曲线
提取地下水各差值下边坡的位移矢量图(见图 14);提取不同地下水位差值下边坡的最大位移和最大塑性应变(见表 2)。由图 14 和表 2 可知,通过接触算法来模拟泥岩和石灰岩之间的相互作用较为合理,地下水位抬升后,边坡发生了沿石灰岩上表面的滑动,边坡的变形与实际勘察报告一致。地下水位抬高前后差值对边坡变形存在较大影响,当差值增大,坡内饱和区域变大,孔隙水压力提高,导致土体重度增大、有效应力减小,边坡位移和塑性应变明显增大。
图 14 地下水位变动后位移矢量图
表 2 地下水位抬高后边坡最大位移
3.3 断层土体参数对边坡稳定性的影响分析
前文计算结果表明,边坡失稳时的塑性破坏区域位于断层处,断层土体强度很大程度上决定了边坡的稳定性。本节采用定量分析方法分析夹层土体粘聚力 c、内摩擦角φ以及泥岩和石灰岩之间的摩擦系数μ对边坡稳定性的影响。
3.3.1 粘聚力影响分析
建立不同粘聚力时边坡的流固耦合模型,以下部边坡坡顶为特征点,绘制特征点横向位移u1 和折减系数 fv1 的关系曲线(见图 15);绘制安全因子与粘聚力的关系曲线(见图 16)。由图 15、16 可知,当折减系数增大,土体强度逐渐降低,当断层土体大范围进入塑性破坏后,整体结构发生滑动失稳,位移急剧增大,u1~fv1 曲线出现陡降现象。粘聚力 c 是土抗剪强度的关键参数,对结构的稳定性存在较大影响。粘聚力 c 越高,土体抗剪强度越大,边坡安全因子越高,u1~fv1 曲线拐点出现越晚。边坡安全因子与粘聚力近似呈线性正相关关系,随着粘聚力增大,安全因子逐渐提高,边坡趋于稳定。
3.3.2 内摩擦角影响分析
建立不同内摩擦角下边坡的流固耦合模型,绘制特征点横向位移 u1 和折减系数 fv1的关系曲线(见图 17),绘制边坡安全因子与内摩擦角的关系曲线(见图 18)。由图 17 可知,各摩擦角下 u1~fv1 曲线拐点较为接近,对边坡安全因子影响较小。但摩擦角φ越大,拐点过后曲线越上扬,表明边坡破坏失稳后,摩擦角控制着边坡的位移大小。摩擦角越大,边坡位移越小,摩擦角φ和横向位移 u1 呈反比例关系。由图 18 可知,摩擦角增大,土体抗剪强度增加,安全因子提升。
3.4 摩擦系数影响分析
本文采用接触算法模拟泥岩和石灰岩之间的相互作用,石灰岩所提供的摩擦力抵抗了边坡的整体滑动,对整体稳定性起提升作用。计算不同摩擦系数下边坡结构的流固耦合模型,以下部边坡坡顶为特征点,绘制特征点横向位移和折减系数fv的关系曲线(见图19);绘制安全因子与摩擦系数的关系曲线(见图20)。
由图19可知,当折减系数增大,土体强度降低,断层土体逐渐进入塑性破坏阶段,整体结构发生滑动失稳,位移急剧增大,~fv曲线出现陡降现象。abaqus根据摩擦定律t=lo 计算沿着两面切线方向的接触力,作用在接触面上某点的法向应力。等价于接触面法线方向的土压力。由土力学可知,当土体物理参数相同时,不同摩擦系数下的边坡土体在同一深度处土压力基本相同,摩擦系数"决定了石灰岩所提供摩擦力的上限,而摩擦力的上限决定了最大抗滑力。即摩擦系数μ越高,石灰岩提供的摩擦力越大,u~f曲线陡降段出现越晚。
由图20可知,边坡安全因子与摩擦系数近似呈线性正相关。当摩擦系数增大,石灰岩上表面提供的摩擦力增大,对下滑力的抵抗作用提高,边坡趋于稳定,安全因子提升。当摩擦系数从μ=0.224增大到0.424,边坡安全因子从0.468增大到0.801,安全因子的提高较为显著。
4.结论
本文运用 abaqus 软件建立了哈伯里滑坡的流固耦合模型,采用接触算法模拟泥岩与石灰岩之间的相互作用。使用强度折减法分析了正常运行期和地下水位变动期边坡的稳定性,并采用定量分析的方法,开展了断层土的粘聚力和摩擦角、泥岩与石灰岩之间的摩擦系数对边坡稳定性的影响研究。得到以下重要结论:
(1)边坡在正常运行期间的稳定性满足规范要求(fs=1.460),有限元强度折减法能较好地运用于边坡稳定性分析中。
(2)此次滑坡的主要原因是降雨引起的坡内地下水位抬高,当地下水位从初始 12m 位置抬升至 13m 时,安全因子 fs 降至 0.94,边坡趋于滑动失稳状态。地下水位涨幅对边坡稳定性存在较大影响,当涨幅提高,边坡安全因子迅速降低。
(3)断层土体参数对边坡稳定性存在较大影响,粘聚力对边坡安全因子的影响较摩擦角更
为明显。当粘聚力增大,边坡安全因子迅速提高。断层土体在后期的修复加固时可选择粘聚力较高的土体换填。
(4)本文所采用的接触算法模拟泥岩与石灰岩之间的相互作用合理可行,地下水位抬高后,
左下方泥岩发生了沿石灰岩上表面的滑动,边坡整体的变形趋势与实际勘测资料较为一致。泥岩与石灰岩之间的摩擦系数对边坡稳定性存在较大影响,当摩擦系数增大,石灰岩提供的摩擦力上限提高,对边坡整体下滑里的抵抗作用提升,边坡趋于稳定。
资料来源:达索官方
2025-12-05
[行业资讯] simulia简介-abaqus代理经销商思茂信息
2025-12-05
[行业资讯] 如何合理选购abaqus软件并获取报价?达索代理商思茂信息
2025-12-05
[行业资讯] 思茂信息亮相2025省博士创新站活动 共探产学研新路径
2025-12-02
[cst] cst软件探索eft虚拟测试:从iec标准到3d仿真实战
2025-12-01
[abaqus] abaqus中理想弹塑性模型和弹塑性硬化模型区别
2025-11-28
2025-11-28
2025-11-28
[abaqus] 上课啦!达索系统 simulia abaqus pcb仿真
2025-11-26
[cst] 无参优化器:利用cst和tosca进行拓扑优化之单极天线(
2025-11-26
2023-08-29
2023-08-24
[abaqus] abaqus如何建模?abaqus有限元分析教程
2023-07-07
[abaqus] 有限元分析软件abaqus单位在哪设置?【操作教程】
2023-09-05
[abaqus] abaqus软件中interaction功能模块中的绑定接
2023-07-19
[abaqus] abaqus怎么撤回上一步操作?abauqs教程
2024-05-01
[abaqus] abaqus里面s11、s12和u1、u2是什么意思?s和
2023-08-30
[abaqus] abaqus单位对应关系及参数介绍-abaqus软件
2023-11-20
[abaqus] abaqus软件教程|场变量输出历史变量输出
2023-07-18
[abaqus] abaqus中的s、u、v、e、cf分别是什么意思?
2024-05-11
[行业资讯] simulia简介-abaqus代理经销商思茂信息
2025-12-05
2025-12-05
[行业资讯] 如何合理选购abaqus软件并获取报价?达索代理商思茂信息
2025-12-05
[行业资讯] 思茂信息亮相2025省博士创新站活动 共探产学研新路径
2025-12-02
[行业资讯] 正版abaqus全国代理商:思茂信息——达索授权认证
2025-11-25
[行业资讯] 怎么联系cst studio suite代理商?达索sim
2025-11-25
2025-11-24
[行业资讯] 广东有限元分析软件abaqus采购指南-认准达索授权思茂信
2025-11-21
[行业资讯] 达索abaqus、cst代理商采购流程-指定授权代理商思茂
2025-11-21
[行业资讯] 广东2025半导体及零部件学会发展论坛落幕,广州思茂信息获
2025-11-20
地址: 广州市天河区天河北路663号广东省机械研究所8栋9层 电话:020-38921052 传真:020-38921345 邮箱:thinks@think-s.com
和记娱乐app官网登录 copyright © 2010-2023 广州思茂信息科技有限公司 all rights reserved. 粤icp备11003060号-2