无线移动通信最初始于上世纪 50 年代的军事应用,随后关于移动通信蜂窝网概念的提出,加速了其民用化的发展。所以从 1995 年到 2010 年左右,全球无线移动通信行业经历了井喷式的增长。市场竞争推动了计算机软硬件技术的更新换代和互联网技术的持续进步。此外,由于海量的用户需求,在上世纪后期和本世纪初期,使得无线移动通信技术呈现跨越式的发展。
双极化基站天线组合了 45°和-45°两副极化方向相互正交的天线并同时工作在收发双工模式下,因此其最突出的优点是节省单个定向基站的天线数量;一般 gsm 数字移动通信网的定向基站(三扇区)要使用 6 根天线,每个扇形使用 2 根天线(空间分集,一发两收),如果使用双极化天线,每个扇形只需要 1 根天线;同时由于在双极化天线中,±45°的极化正交性可以保证 45°和-45°两副天线之间的隔离度满足互调对天线间隔离度的要求(≥30db),因此双极化天线之间的空间间隔仅需 20-750px;另外,双极化天线具有电调天线的优点,在移动通信网中使用双极化天线同电调天线一样,可以降低呼损,减小干扰,提高全网的服务质量。如果使用双极化天线,由于双极化天线对架设安装要求不高,不需要征地建塔,只需要架一根直径 500px 的铁柱,将双极化天线按相应覆盖方向固定在铁柱上即可,从而节省基建投资,同时使基站布局更加合理,基站站址的选定更加容易。
而本次设计的天线就是选择使用具有电磁透明功能的±45°双极化基站天线,以便为后续阵列天线的设计提供便利。本次设计的天线工作于 0.69ghz~0.96ghz 之间,工作带宽为 33%。本次设计中采用不同于其他天线的普通带状阵子臂,加载扼流环结构,实现电磁透明性能,同时使用蝶形阵子臂扩展天线阻抗。并通过达索三维全波电磁场仿真工具 cst 对根据具体设计指标所设计的 0.69ghz~0.96ghz 天线进行仿真并改进。
本文将详细说明建模仿真过程。
2电磁透明天线设计概述
2.1 天线结构概述
本次设计的双极化基站天线为立体的结构,天线由介质基板馈电同轴线巴伦以及反射板三部分组成。其中介质基板上覆盖了天线的辐射体。
首先是对于天线辐射体尺寸的确定。一般的偶极子天线的阵子臂长度的计算如式 2-1 所示,本设计中采用的是蝶形偶极子结构,此种结构的阵子臂长度应为对角线长度。
此加载扼流环阵子臂等效为电容及电感串并联电路,如图 2-2 所示,此电路在高频并联谐振点等效为开路,具有透波性能,在低频串联谐振点等效为短路,具有辐射性能。
图 2-2.加载扼流环带状线的等效电路图
其中电容值及电感值可以分别由 2-4 及 2-5 计算得出。
其中,对于电容值的计算,d 为平行板电容长度,s 为平行板电容的缝隙间距;对于电感值的计算,d 为电感长度,w 为电感宽度。
由此可知,在本文设计的扼流环结构中,电感 l1 值的大小由长度 l1 及宽度 w1 调节;电感 l2 值的大小由长度 l2 及宽度 w2 调节; 电容 c1 值的大小由缝隙宽度 g1 调节。
根据本次设计的谐振中心频率 f = 0.82ghz,透波中心频率 f = 3.6ghz 设计相关参数。
同时,基于镜像原理,天线的高度约为λ/4。
其中,λ为在谐振中心频率 f = 0.82ghz 的真空中的波长。
3 天线具体建模和参数设置
本次设计的电磁透明天线为双极化天线加载扼流环结构的形式,使用达索三维全波电磁场仿真工具 cst进行仿真设计,天线的总尺寸为 67mm*67mm*100mm,工作频率范围为 0.69ghz~0.96ghz.
3.1 天线具体建模操作
本次建模采用的是达索三维全波电磁场仿真工具 cst,版本为 2021 版,且本次建模为双极化基站天线。
因此,选择 cst 工具中的 mws 工作室中 antenna 中的 planar 进行建模。本次所设计的天线带宽是0.69ghz~0.96ghz 频段,因此属于宽带,根据经验,选择频域求解器作为求解器。在设置各项单位时,长度单位一般设置为 mm,频率设置为 ghz,时间设置为 ns。
本次设计的天线介质基板采用相对介电常数为 3.48 的 ro4350b,厚度为 0.762mm,选中工作栏中的 brick选项并设置相关参数完成介质基板的建模。然后选中上表面的下边沿中心处并 local wcs,通过 align wcs将局部坐标系 wcs 移动至介质基板的中心处。然后通过工作栏中的 brick 选项,画出两个重叠但边长不同的矩形通过布尔操作,将小矩形从大矩形上减去生成方环结构,再通过 transform 操作,以轴心为圆心,旋转复制出四个方环,形成基础天线初始辐射体如图 3-1 所示。
图 3-1. 基础±45°双极化基站天线示意图
然后是在之前的基础上进行扼流环加载的操作,选择上表面的贴片中心通过 align wcs 将局部坐标系wcs 放置于其中一个方环的中心处,通过 brick 操作画出交叉的矩形,通过组合操作,矩形在阵子臂上组合生成扼流结构。然后通过 rotate 操作以轴心为圆心,旋转复制出四个扼流结构。再通过 rotate 操作将矩形沿着w 轴旋转出 4 个相同的加载扼流环结构的辐射体,再通过 brick 操作画出交叉的矩形,通过组合操作画出馈电结构。通过 cylinder 操作建立同轴线和巴伦。通过 brick 操作画出地板结构。图像如图 3-2 所示。
图 3-2. 加载扼流环±45°双极化基站基站天线示意图
激励源设置
在建模完毕的情况下,将需要根据经验来设置激励源,使用 discrete port 进行激励源设置,对于同轴线,discrete port 的边缘必须与同轴线外皮边缘和内芯边缘重合。
天线其他条件设置
本文设计天线工作频率范围为 0.69ghz~0.96ghz,所以设置频率范围为 0.6ghz~1ghz,background 设置为 normal,边界条件设置为 open(add space),求解器的网格设置为 hexahedral,准确值设定为-40db。
仿真结果导出与分析
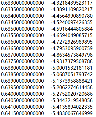
第一步是最主要的 s 参数分析,如图 4-1,4-2 和 4-3 所示。图中的 s 参数显示从大约 0.69ghz 到 0.96ghz的曲线均处于-10db 以下,两个端口的一致性非常好,同时隔离度达到 35db 以上符合设计要求。而且可以达索三维全波电磁仿真工具 cst 支持导出数据以供 origin、matlab 等画图软件绘制曲线。通过工具栏中的 post processing 中的 import/export 导出对应的 s11, s22 和 s21 参数值,参数值以文本形式保存于电脑中,以便导入其他绘图软件,具体如图 4-4 所示,前一列为频率,后一列为 s 参数值。
图 4-1. 天线回波损耗图 s11
图 4-2. 天线回波损耗图 s22
图 4-3. 天线隔离图 s21
图 4-4. 部分回波损耗参数表
第二步就是对于 vswr(电压驻波比)的数据后处理,如图 4-5 和 4-6 所示。在图中可以看出在 0.69ghz到 0.96ghz 的频率范围内,该天线两个端口的电压驻波比低于 2.0,一致性很好,符合设计要求,同时也可以通过导出数据的文本形式用于在其他绘图软件中进行数据后处理,导出文本如图 4-7 所示,前一列为频率,后一列为驻波比值。
图 4-5. 1 端口天线电压驻波比图
图 4-6. 2 端口天线电压驻波比图
图 4-7 部分电压驻波比参数表
最后便是查看天线增益是否符合要求。本次设计在频率中心设置了 monitor,如图 4-8 所示,当频率为0.82ghz 时,最大增益为 7.48db(1 端口馈电),符合设计要求。
图 4-8. f=0.82ghz 天线增益图
通过观察电场方向和磁场方向,可以通过工具栏中的 polar,然后定义 farfield plot properties,获得 e 场方向图和 h场方向图,如图 4-9、图 4-10 所示。
图 4-9. e 场方向图
图 4-10. h 场方向图
天线的加工与测试
如图 5-1 所示,加工了±45°双极化基站天线样机,并对其性能进行测试。
图 5-1 天线样机
天线的方向图 e 面和 h 面的主极化和交叉极化的归一化的测试结果分别如图 5-2 和图 5-3 所示。其中,实线为仿真结果,虚线为测试结果,测试结果和仿真结果基本一致。
图 5-2 e 面方向图
图 5-3 h 面方向图
天线的增益及驻波测试结果如图 5-4 所示。由于仿真和测试误差,增益及驻波的测试结果和仿真结果略有不同。
图 5-4 增益及驻波
结论
本文以达索三维全波电磁仿真工具 cst 为载体,针对实现覆盖 0.69ghz~0.96ghz 的电磁透明基站天线这一问题,在电磁 mws 工作室中,建立了双极化基站天线的仿真模型。通过设置对应激励源和求解器,仿真出天线的回波损耗和电压驻波比以及特定频率的电磁场方向图。
然而,值得注意的是,虽然仿真结果在理论上是理想化的,但与实际测试存在一定的差异。在电磁仿真领域的后续研究中,我们可以采用其他介质材料或采用其他形状的基站天线来进一步提升天线的效率和性能。
为了实现这一目标,在未来的工作中,我们需要建立更完善的模型,并选择合适的激励源。这需要有深厚的理论基础和丰富的工程实践经验,并且需要技术人员之间的密切合作。
资料来源:达索官方
2025-12-05
[行业资讯] simulia简介-abaqus代理经销商思茂信息
2025-12-05
[行业资讯] 如何合理选购abaqus软件并获取报价?达索代理商思茂信息
2025-12-05
[行业资讯] 思茂信息亮相2025省博士创新站活动 共探产学研新路径
2025-12-02
[cst] cst软件探索eft虚拟测试:从iec标准到3d仿真实战
2025-12-01
[abaqus] abaqus中理想弹塑性模型和弹塑性硬化模型区别
2025-11-28
2025-11-28
2025-11-28
[abaqus] 上课啦!达索系统 simulia abaqus pcb仿真
2025-11-26
[cst] 无参优化器:利用cst和tosca进行拓扑优化之单极天线(
2025-11-26
2023-08-29
2023-08-24
[abaqus] abaqus如何建模?abaqus有限元分析教程
2023-07-07
[abaqus] 有限元分析软件abaqus单位在哪设置?【操作教程】
2023-09-05
[abaqus] abaqus软件中interaction功能模块中的绑定接
2023-07-19
[abaqus] abaqus怎么撤回上一步操作?abauqs教程
2024-05-01
[abaqus] abaqus里面s11、s12和u1、u2是什么意思?s和
2023-08-30
[abaqus] abaqus单位对应关系及参数介绍-abaqus软件
2023-11-20
[abaqus] abaqus软件教程|场变量输出历史变量输出
2023-07-18
[abaqus] abaqus中的s、u、v、e、cf分别是什么意思?
2024-05-11
[行业资讯] simulia简介-abaqus代理经销商思茂信息
2025-12-05
2025-12-05
[行业资讯] 如何合理选购abaqus软件并获取报价?达索代理商思茂信息
2025-12-05
[行业资讯] 思茂信息亮相2025省博士创新站活动 共探产学研新路径
2025-12-02
[行业资讯] 正版abaqus全国代理商:思茂信息——达索授权认证
2025-11-25
[行业资讯] 怎么联系cst studio suite代理商?达索sim
2025-11-25
2025-11-24
[行业资讯] 广东有限元分析软件abaqus采购指南-认准达索授权思茂信
2025-11-21
[行业资讯] 达索abaqus、cst代理商采购流程-指定授权代理商思茂
2025-11-21
[行业资讯] 广东2025半导体及零部件学会发展论坛落幕,广州思茂信息获
2025-11-20
地址: 广州市天河区天河北路663号广东省机械研究所8栋9层 电话:020-38921052 传真:020-38921345 邮箱:thinks@think-s.com
和记娱乐app官网登录 copyright © 2010-2023 广州思茂信息科技有限公司 all rights reserved. 粤icp备11003060号-2