随着人们对电子车品按键手感的要求越来越高,传统的经验设计方法越来越满足不了高要求的手感设计,这需要引入有限元法对手感设计进行模拟与分析。决定手感的橡胶垫的硅胶材料是具有高度非线性的超弹性材料,而且还要考虑塑胶按键和橡胶键与导向结构的接触问题,abaqus 软件被认为在非线性领域功能最强大的有限元分析软件,所以选择 abaqus 软件对按键的设计进行手感模拟。
硅胶材料的参数从单轴拉伸的应力应变曲线在 abaqus 中拟合得到,材料本构关系是缩减多项式(n=2)。橡胶垫和塑胶按键的接触采用罚函数法和罚摩擦模型。最后得到了手感的弹力行程曲线,弹力行程的曲线和实验得到结果有很好的一致性,从而可以用模拟分析来辅助手感的改进设计,这种设计、分析和实验相结合的方法可为手感设计和结构优化提供实用方法和理论指导。
硅橡胶本构关系和接触的数值模型
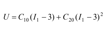
1.1 硅橡胶本构关系
橡胶材料不可压缩的弹性材料,abaqus 用应变能来表达材料应力应变的本构关系。由于橡胶垫的应变在50%以下,经过和单轴拉伸的应力应变曲线的拟合采用了缩减多项式(n=2)的本构关系:
1.2 接触的数值模型
本文采用罚函数法和罚摩擦模型计算液压扳手中的摩擦接触问题。罚函数法通过法向接触刚度强制接触相容, 法向力为:
式中 kn 为法向接触刚度;c——根据接触节点相对于目标平面的位置确定的间隙值。
由于模拟理想的摩擦行为往往非常困难甚至无法收敛,所以abaqus会采取“弹性滑移”的罚摩擦来允许在粘着的接触表面之间发生一个非常小的相对运动,在这个过程中,abaqus会自动的选择合适的罚刚度。
有限元前处理模型的建立
2.1单个硅胶键有限元模型的建立
单个硅胶键结构和加载的情况都是轴对称的,所以可以把三维的硅胶键简化为二维轴对称,单元类型为cax4h(4节点轴对称杂交单元),节点总数为292,单元总数为244,如图一所示。
图一: 单个硅胶键的轴对称有限元模型
2.2整个按键有限元模型的建立
橡胶垫采用实体单元 c3d8h(3 维 8 节点的杂交单元)。塑料按键很薄,厚度均匀,所以采用 4 节点的二维壳单元 s4 进行分网。pcb 板按刚体处理。节点数为 6067 个,单元数为 5792 个。为了得到按键整体的手感情况,应该至少选择塑料按键两个部位分别进行加载,本文选择了两处(中央位置和角落位置)来评估按键的手感,如图二所示。
检查分析结果
3.1 单个硅胶键有限元结果与试验结果比较
回弹力行程曲线如图三所示,一般用三个参数来表征手感,最大回弹力f1、最小回弹力f2和手感比值(f1-f2)/ f1。最大回弹力f1是1.45n,最小回弹力f2是0.67n. 所以手感比值为53.8%。试验得到的最大回弹力、最小回弹力和手感比值分别为1.31 n, 0.62 n and 52.7%。可以看到有限元和试验的结果差别在可以接受的范围之内。
图三:单个硅胶键的回弹力行程曲线
3.2 整个按键有限元结果与试验结果比较
回弹力行程曲线如图四所示。在按键角落处加载的情况,最大回弹力为 3.5 n,最小回弹力为 1.8 n,手感比值为 46.8%。实测最大回弹力 3.3 n,最小回弹力为 1.8 n,手感比值为 45.5%。在按键中央驻加载的情况,最大回弹力为 2.9 n,最小回弹力为 1.5 n,手感比值为 47.4%。实测最大回弹力为 2.7 n,最小回弹力为 1.4 n,手感比值为 48.1%。可以看出,两处的有限元分析结果和实测结果都有很好的一致性。
图四: 整个按键的回弹力行程曲线
结束语
1 本文采取的数值模型可以为手感分析提供一定的理论指导。
2 本文采取的有限元分析和试验相结合的分析方法可有效的保证有限元模型的正确性,可以为手感分析提供借鉴。
3 本文应用abaqus得到的计算结果和试验结果有很好的一致性。在此基础上,可以对改进措施进行研讨以进行结构改进。这可以为手感设计和结构优化提供实用的方法。
资料来源:达索官方
2025-12-05
[行业资讯] simulia简介-abaqus代理经销商思茂信息
2025-12-05
[行业资讯] 如何合理选购abaqus软件并获取报价?达索代理商思茂信息
2025-12-05
[行业资讯] 思茂信息亮相2025省博士创新站活动 共探产学研新路径
2025-12-02
[cst] cst软件探索eft虚拟测试:从iec标准到3d仿真实战
2025-12-01
[abaqus] abaqus中理想弹塑性模型和弹塑性硬化模型区别
2025-11-28
2025-11-28
2025-11-28
[abaqus] 上课啦!达索系统 simulia abaqus pcb仿真
2025-11-26
[cst] 无参优化器:利用cst和tosca进行拓扑优化之单极天线(
2025-11-26
2023-08-29
2023-08-24
[abaqus] abaqus如何建模?abaqus有限元分析教程
2023-07-07
[abaqus] 有限元分析软件abaqus单位在哪设置?【操作教程】
2023-09-05
[abaqus] abaqus软件中interaction功能模块中的绑定接
2023-07-19
[abaqus] abaqus怎么撤回上一步操作?abauqs教程
2024-05-01
[abaqus] abaqus里面s11、s12和u1、u2是什么意思?s和
2023-08-30
[abaqus] abaqus单位对应关系及参数介绍-abaqus软件
2023-11-20
[abaqus] abaqus软件教程|场变量输出历史变量输出
2023-07-18
[abaqus] abaqus中的s、u、v、e、cf分别是什么意思?
2024-05-11
[行业资讯] simulia简介-abaqus代理经销商思茂信息
2025-12-05
2025-12-05
[行业资讯] 如何合理选购abaqus软件并获取报价?达索代理商思茂信息
2025-12-05
[行业资讯] 思茂信息亮相2025省博士创新站活动 共探产学研新路径
2025-12-02
[行业资讯] 正版abaqus全国代理商:思茂信息——达索授权认证
2025-11-25
[行业资讯] 怎么联系cst studio suite代理商?达索sim
2025-11-25
2025-11-24
[行业资讯] 广东有限元分析软件abaqus采购指南-认准达索授权思茂信
2025-11-21
[行业资讯] 达索abaqus、cst代理商采购流程-指定授权代理商思茂
2025-11-21
[行业资讯] 广东2025半导体及零部件学会发展论坛落幕,广州思茂信息获
2025-11-20
地址: 广州市天河区天河北路663号广东省机械研究所8栋9层 电话:020-38921052 传真:020-38921345 邮箱:thinks@think-s.com
和记娱乐app官网登录 copyright © 2010-2023 广州思茂信息科技有限公司 all rights reserved. 粤icp备11003060号-2