车-线-桥耦合大系统是一个复杂的非线性系统,传统理论计算中为了提高计算效率,将整个系统简化为仅有钢轨和桥梁连接的简化模型,对于其余部件直接忽略。这对于轨道基础的详细研究时很不利的,因此,对于轨道板等的振动响应研究,则需要进一步的细化弹性轨道基础模型。本文在 abaqus 中创建精细化的钢轨-扣件-轨道板-砂浆层-桥梁有限元模型,并通过 simpack 提供的fembs 接口将其与车辆系统耦合起来,从而便于整个系统振动响应的研究。
2. 理论模型
在有限元分析中,柔性体的运动是通过大量节点坐标来表示,而在simpack中是用较少的模态坐标来描述物体的弹性变形。为了减少计算时间,提高计算效率,应先对有限元模型进行子结构分析,提取主节点缩减矩阵。
为提高建模效率,在本文的计算模型中,将钢轨、轨道板、砂浆层以及桥梁等道基础在 abaqus 中创建好接触和连接关系,之后通过子结构缩减及simpack 的弹性体接口生成整个轨道基础的弹性体*.fbi 文件。车辆系统与轨道基础系统通过轮轨接触模型耦合起来,在 simpack 中创建轮轨关系时,至少需要将弹性轨道按照规则书写*.ftr 文件,而本文的模型中则直接将钢轨、轨道板和桥梁等在内的弹性体整体载入*.ftr 文件中,从而快速创建弹性轨道基础,以实现快速建模。本文创建完成的车-线-桥耦合模型的拓扑见图 。
2.1车辆系统动力学模型
本文车辆多刚体模型参考文献[6]建立,主要由一个车体、两个构架及四个轮对组成,每个刚体横向运动、垂向运动、侧滚运动、摇头运动以及点头运动 5 个空间自由度,即每节车辆模型包含有 35 个自由度。为提高车辆建模效率,simpack计算模型采用子模型建模思路,即车辆模型调用转向架系统子模型,转向架系统模型调用轮对子模型的方式。从图 2.1 中可以看出,连接轮对与转向已经车体与转向架的一系悬挂与二系悬挂装置采用多种特定类型的力元模型。
2.1 车-线-桥耦合模型的拓扑图
2.2 子结构(substructure)分析原理
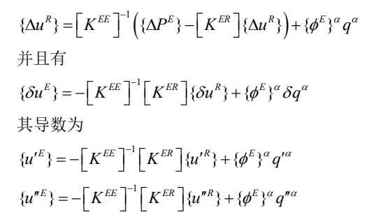
子结构分析的主要思路是将模型的一部分(子结构)单独分开考虑,并将模型中除了与子结构相连的其余自由度进行缩减。保留自由度的节点处有限元响应定义为向量 {ur} 。
(*)式所描述的静态分析不能有效、准确地反映子结构的动态响应。为了改善动态响应的表示,可以保留额外的自由度,它们并不是子结构连接到模型其他部分时所必须的,也即将部分u转移到”中,这就是著名的guyan缩减法。另外一种常用且高效方法--通过与子结构模态相关的广义自由度9增强子系统的动态响应。最简洁的方法就是从子结构中提取其主模态,并且保留所有需要的自由度,因此(*)可以进一步表达为
2.3 弹性轨道基础动力学模型
图 2.2 所示为本文建立的精细化钢轨-扣件-轨道板-砂浆层-桥梁有限元模型,钢轨与轨道板轨枕之间的扣件设定为弹簧-阻尼单元,而轨道板与砂浆层以及与桥梁等的相互作用与连接则按照实际情况设置通用接触。
在子结构分析中,则至少需要保留用于轮轨副创建的钢轨节点,同时也需要保留关注响应点的节点自由度,如图 2.3 为计算模型中保留的主节点。
图 2.2 钢轨-扣件-轨道板-砂浆层-桥梁有限元模型
图 2.3 轨道基础有限元模型主节点
子结构分析完成后生成*.simp_z1.sim 和*.inp 文件。其中,*.simp_z1.sim 是包含超级单元(super element)的结果文件,*.inp 是有限元(fe)输入文件。它们是 abaqus 导 simpack 生成弹性体*.fbi 文件所必需的文件。通过 simpack提供的 frmbs 接口即可获得响应的轨道基础弹性体*.fbi 文件。
但是为了与车辆系统创建轮轨关系,还需要按照*.ftr 文件的书写规则编写文件,以便于在 simapck 中加载。本文因为之前在 abaqus 中已经完成了轨道系统各个部件之间的连接,则可以将整个弹性体模型直接通过*.ftr 加载至simapck 中,如下所示:
在车辆系统与上述弹性轨道基础模型之间创建如图 2.4 所示的轮轨副,则实现了整个耦合计算模型的搭建。完成后的模型系统如图 2.5 所示。
图 2.4 车辆-弹性轨道基础轮轨副
图 2.5 车-线-桥耦合模型
3. 计算模型及其验证
图 2.6 所示为车-线-桥耦合模型计算得到的振动响应,从轨道基础的变形云图中可以清晰看到列车通过时轨道基础各个部件的变形状态;振动响应曲线分别为中间一跨桥梁上中间轨道板中间处钢轨的位移和轨道板端的位移。轨道板端部钢轨位移最大变形量约为 1.3mm,而轨道板中间位置则在钢轨位移的基础上跌价了轨道板和桥梁的变形量。
图 2.6 车-线-桥耦合模型振动响应
4. 结论
本文基于 abaqus 建立了精细化的钢轨-扣件-轨道板-砂浆层-桥梁有限元模型,并在 simapck 中通过轨道基础整体建模的思路快速实现了轨道基础系统与车辆系统的耦合。为复杂轨道基础振动响应的研究提供了一种实现思路和实现方法。
资料来源:达索官方
2025-12-05
[行业资讯] simulia简介-abaqus代理经销商思茂信息
2025-12-05
[行业资讯] 如何合理选购abaqus软件并获取报价?达索代理商思茂信息
2025-12-05
[行业资讯] 思茂信息亮相2025省博士创新站活动 共探产学研新路径
2025-12-02
[cst] cst软件探索eft虚拟测试:从iec标准到3d仿真实战
2025-12-01
[abaqus] abaqus中理想弹塑性模型和弹塑性硬化模型区别
2025-11-28
2025-11-28
2025-11-28
[abaqus] 上课啦!达索系统 simulia abaqus pcb仿真
2025-11-26
[cst] 无参优化器:利用cst和tosca进行拓扑优化之单极天线(
2025-11-26
2023-08-29
2023-08-24
[abaqus] abaqus如何建模?abaqus有限元分析教程
2023-07-07
[abaqus] 有限元分析软件abaqus单位在哪设置?【操作教程】
2023-09-05
[abaqus] abaqus软件中interaction功能模块中的绑定接
2023-07-19
[abaqus] abaqus怎么撤回上一步操作?abauqs教程
2024-05-01
[abaqus] abaqus里面s11、s12和u1、u2是什么意思?s和
2023-08-30
[abaqus] abaqus单位对应关系及参数介绍-abaqus软件
2023-11-20
[abaqus] abaqus软件教程|场变量输出历史变量输出
2023-07-18
[abaqus] abaqus中的s、u、v、e、cf分别是什么意思?
2024-05-11
[行业资讯] simulia简介-abaqus代理经销商思茂信息
2025-12-05
2025-12-05
[行业资讯] 如何合理选购abaqus软件并获取报价?达索代理商思茂信息
2025-12-05
[行业资讯] 思茂信息亮相2025省博士创新站活动 共探产学研新路径
2025-12-02
[行业资讯] 正版abaqus全国代理商:思茂信息——达索授权认证
2025-11-25
[行业资讯] 怎么联系cst studio suite代理商?达索sim
2025-11-25
2025-11-24
[行业资讯] 广东有限元分析软件abaqus采购指南-认准达索授权思茂信
2025-11-21
[行业资讯] 达索abaqus、cst代理商采购流程-指定授权代理商思茂
2025-11-21
[行业资讯] 广东2025半导体及零部件学会发展论坛落幕,广州思茂信息获
2025-11-20
地址: 广州市天河区天河北路663号广东省机械研究所8栋9层 电话:020-38921052 传真:020-38921345 邮箱:thinks@think-s.com
和记娱乐app官网登录 copyright © 2010-2023 广州思茂信息科技有限公司 all rights reserved. 粤icp备11003060号-2