本文结合具体产品分析,对大变形条件下的复杂接触状态情况、讨论了不同接触设置对计算
收敛的影响以及计算结果精度的影响。最后通过把仿真计算结果与试验结果相比较,验证了接触设置的合理性。
1 前言
在有限元仿真分析中,不仅有简单的单个零件结构的力学性能分析,还会遇到很多对组装产品结构的性能进行仿真分析。组装产品大多是由至少两个以上的零部件组成,这样各个零部件之间有很多的接触面,在有限元分析前处理时,就需要对实际接触的面定义接触。众所周知,接触问题是目前有限元分析问题中的一个难点问题,比如接触收敛问题以及计算结果精度是很难控制的,特别是涉及大变形情况下的接触分析。本文以具体组装产品为例,利用 abaqus 软件求解器,讨论不同接触设置对收敛的影响以及计算结果精度比较。
2 产品结构简介
本产品是用于汽车悬挂上的一种装置,产品由吊杆头、吊杆、吊杆缸筒、封口端盖以及三橡胶弹簧组成,其结构几何模型平面图见图 1。
图 1 仿真分析产品结构平面示意图
3 有限元模型处理与计算
本文的分析计算主要是仿真计算吊杆在受拉与受压两种情况下,产品的刚度性能。从图 1 可以看出,两边吊杆在受拉或受压时,三橡胶弹簧会沿着外套移动,这样就会存在橡胶弹簧的外表面与外套的接触;橡胶弹簧的上、下两面以及橡胶弹簧的内孔壁面与吊杆相接触;橡胶弹簧受挤压而变形引起的自接触。对此大变形条件下的复杂接触状态,要求合理的接触对设置才能得到良好的计算收敛性以及满足计算精度。
3.1 材料本构模型及参数
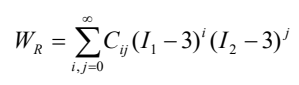
产品结构中吊杆、吊杆头及外套等采用金属材料 q235a 制作,橡胶弹簧和关节采用天然橡胶制作。由于橡胶属于具有超弹性、黏弹性特质的材料,本文采用 mooney—rivlin 本构模型模拟胶料属性,其应变能函数 w 的本构模型为:
本文分析时采用的胶料硬度为 65 shore a,计算时取 mooney-rivlin 模型的参数分别是:c10值为 0.43;c01 值为 0.09;d1 值为 0.001。
本文中金属部分材料计算弹性模量取为 210gpa,泊松比取 0.3,屈服极限为 235 mpa。
3.2 计算模型
本文主要是讨论接触设置对计算收敛性以及计算精度的影响,因此本文算例不考虑吊杆头部分,只考虑三橡胶弹簧、外套、吊杆圆柱部分,这样就可以用轴对称模型来模拟几何结构,大大减少了计算工作量,同时也方便了接触对描述。仿真分析受拉情况,不用考虑中间的橡胶弹簧,且上下橡胶弹簧受力特点一样,故只建一半模型;本文以分析计算产品受拉刚度为例来讨论接触问题。
3.3 接触设置对计算收敛的影响
从图 1 可以看出,产品受拉情况下,仿真分析边界条件共存在有 4 个接触对,分别是橡胶弹簧上、下两面与吊杆和外套的接触;橡胶弹簧的内、外侧面与吊杆的外表面和外套的内表面的接触。
受拉情况的载荷条件是两边吊杆沿轴向拉伸 6mm,在此受载情况下,橡胶弹簧的两侧面相对吊杆和外套有很大的滑移,同时橡胶弹簧受挤压会产生很大的变形。
图 2 接触设置条件 1 计算收敛状态示意图
接触设置条件 1:橡胶弹簧上下两端面用绑定(tie)接触方式,两侧面选择小滑移(small sliding),接触方式,接触属性用(penalty)公式,其他全用默认设置。仿真结果表明,这种设置的收敛性很差,计算收敛状况如图 2 所示。
图 3 接触设置条件 2 接触方式示意图
接触设置条件 2:橡胶弹簧上下两端面用绑定(tie)接触方式,两侧面选择有限滑移(finite sliding)接触方式,在接触控制(contact controls)选项里修改(specify slide distance)这一项的值,本文计算此值设为 2;选择接触属性用(penalty)公式,法向约束力方法选择(augment lagrange(standard)),勾上(allow separation after contact)。接触设置条件 2 各属性参数见图 3。在此接触设置情况下的仿真分析结果表明,相比接触条件 1,有更好的计算收敛性,如图 4 所示。
图 4 接触设置条件 2 收敛状态示意图
考虑到橡胶弹簧的上、下两面与吊杆和外套之间可能存在相对位移,因此进一步设置接触设置条件 3:用小滑移(small sliding)及(penalty)接触属性,其他接触设置与接触设置条件 2 一样。此时的仿真分析表明,其收敛性比接触设置条件 2 稍差,但在本文所加载荷条件下仍能完全收敛。
3.3 接触设置对计算结果精度的影响
有限元仿真分析的目标是分析结果的准确程度,因此将接触设置条件 2 和 3 的分析结果与试验结果进行对比,寻求最佳的接触边界条件设置。接触设置条件 2、接触设置条件 3 的刚度计算结果与试验结果比较见下图 5,从图 5 可以看出,接触设置 3 的计算结果与试验结果最接近,证明此接触设置最合理。因为(tie)接触设置计算时,两接触面上各节点之间就没有相对滑动,所以会造成计算刚度比(penalty)接触计算刚度、试验测试刚度要大。
图 5 不同接触条件计算刚度曲线与试验刚度曲线比较图
4 结束语
本文以具有的大变形、多接触特点的产品为例,通过相同载荷、不同接触方式下的仿真计算结果比较,可以得到以下结论。
l利用 abaqus 求解器处理大变形仿真分析是可行的,在模型正确与所用材料参数及设置准确的基础上,可以得到很高的计算精度。
l对大变形情况下的接触分析,使用有限滑移比小滑移能得到更好的计算收敛性。对接触状况复杂的分析,可以通过合理的设置接触控制参数得到好的计算收敛性。
l根据实际情况选择合理的接触约束方式才能使计算结果精度更高,比如只要接触面之间有很小的滑移,用(tie)接触约束方式比滑移接触方式的计算误差会更大。
资料来源:达索官方
2025-12-05
[行业资讯] simulia简介-abaqus代理经销商思茂信息
2025-12-05
[行业资讯] 如何合理选购abaqus软件并获取报价?达索代理商思茂信息
2025-12-05
[行业资讯] 思茂信息亮相2025省博士创新站活动 共探产学研新路径
2025-12-02
[cst] cst软件探索eft虚拟测试:从iec标准到3d仿真实战
2025-12-01
[abaqus] abaqus中理想弹塑性模型和弹塑性硬化模型区别
2025-11-28
2025-11-28
2025-11-28
[abaqus] 上课啦!达索系统 simulia abaqus pcb仿真
2025-11-26
[cst] 无参优化器:利用cst和tosca进行拓扑优化之单极天线(
2025-11-26
2023-08-29
2023-08-24
[abaqus] abaqus如何建模?abaqus有限元分析教程
2023-07-07
[abaqus] 有限元分析软件abaqus单位在哪设置?【操作教程】
2023-09-05
[abaqus] abaqus软件中interaction功能模块中的绑定接
2023-07-19
[abaqus] abaqus怎么撤回上一步操作?abauqs教程
2024-05-01
[abaqus] abaqus里面s11、s12和u1、u2是什么意思?s和
2023-08-30
[abaqus] abaqus单位对应关系及参数介绍-abaqus软件
2023-11-20
[abaqus] abaqus软件教程|场变量输出历史变量输出
2023-07-18
[abaqus] abaqus中的s、u、v、e、cf分别是什么意思?
2024-05-11
[行业资讯] simulia简介-abaqus代理经销商思茂信息
2025-12-05
2025-12-05
[行业资讯] 如何合理选购abaqus软件并获取报价?达索代理商思茂信息
2025-12-05
[行业资讯] 思茂信息亮相2025省博士创新站活动 共探产学研新路径
2025-12-02
[行业资讯] 正版abaqus全国代理商:思茂信息——达索授权认证
2025-11-25
[行业资讯] 怎么联系cst studio suite代理商?达索sim
2025-11-25
2025-11-24
[行业资讯] 广东有限元分析软件abaqus采购指南-认准达索授权思茂信
2025-11-21
[行业资讯] 达索abaqus、cst代理商采购流程-指定授权代理商思茂
2025-11-21
[行业资讯] 广东2025半导体及零部件学会发展论坛落幕,广州思茂信息获
2025-11-20
地址: 广州市天河区天河北路663号广东省机械研究所8栋9层 电话:020-38921052 传真:020-38921345 邮箱:thinks@think-s.com
和记娱乐app官网登录 copyright © 2010-2023 广州思茂信息科技有限公司 all rights reserved. 粤icp备11003060号-2